Todo
Apuntes
Ejercicios
Trabajos
chevron_left
chevron_right

apuntes

-

Parcial 2- Micro

He publicado nuevos apuntes de 2º Microbiología: Parcial 2- Micro

Tema-8-Bacterias-fotosinteticas.pdf
Tema-9-Proteobacterias-I.pdf
Tema-10-Proteobacterias-II.pdf
Tema-11-Bacterias-gram-positvas.pdf
Tema-12-Arqueas.pdf
Tema-13-Protistas-algas-y-hongos.pdf

apuntes

-

Tema 0- Origen y extensión

He publicado nuevos apuntes de 2º Microbiología: Tema 0- Origen y extensión

Tema-0-Origen-y-extension.pdf
Tema-1-Conceptos-basicos-de-optica-y-microscopia.pdf
Tema-2-Tamano-y-morfologia-de-los-procariotas.pdf
Tema-3-Nociones-de-transporte.pdf
Tema-4-Control-del-crecimiento-bacteriano.pdf
Tema-5-Organizacion-genomica-y-expresion-genica.pdf

apuntes

-

Temario completo microbiología

He publicado nuevos apuntes de 2º Microbiología: Temario completo microbiología

Tema-2-Tecnicas-generales-en-microbiologia.pdf
Tema-3-Celula-procariota.pdf
Tema-4-Transporte-y-crecimiento.pdf
Tema-5-Control-e-inhibicion-del-crecimiento-bacteriano.pdf
Tema-6.1-Organizacion-genomica-y-expresion-genica.pdf
Tema-6.2-Regulacion-de-la-expresion-genica-y-transferencia-horizontal-de-informacion-entre-MO.pdf

He publicado nuevos apuntes de 2º Microbiología: microbiologia-2o-parte.pdf

64 páginas

He publicado nuevos ejercicios de 2º Microbiología: Problemas-de-crecimiento.pdf

9 páginas

He publicado nuevos ejercicios de 2º Microbiología: ejercicio-microbiologia.pdf

1 página

apuntes

-

Temas 1-8

He publicado nuevos apuntes de 2º Microbiología: Temas 1-8

Microbiologia-Tema-1.pdf
Microbiologia-Tema-2.pdf
Microbiologia-Tema-3.pdf
Microbiologia-Tema-4.pdf
Microbiologia-Tema-5.pdf
Microbiologia-Tema-6.pdf

He publicado nuevos apuntes de 2º Microbiología: Extra-micro-petri.pdf

1 página

He publicado nuevos apuntes de 2º Microbiología: mapa-conceptual-GENETICA-BACTERIANA.pdf

1 página

He publicado nuevos apuntes de 2º Microbiología: apuntes-extra-MICRO.pdf

98 páginas

He publicado nuevos apuntes de 2º Microbiología: Resumen-proteobacterias.pdf

3 páginas

He publicado nuevos apuntes de 2º Microbiología: MICROBIOLOGIA-tema-5.pdf

3 páginas

He publicado nuevos apuntes de 2º Microbiología: Mapa-conceptual-5-CRECIMIENTO-MICROBIANO.pdf

1 página

He publicado nuevos apuntes de 2º Microbiología: MAPA-CONCEPTUAL-CULTIVO-DE-MICROORGANISMOS.pdf

1 página

He publicado nuevos apuntes de 2º Microbiología: PRACTICAS-MICROBIOLOGIA.pdf

4 páginas

ejercicios

-

Entregas evaluación continua

He publicado nuevos ejercicios de 2º Microbiología: Entregas evaluación continua

Entrega-1.pdf
Entrega-2.pdf
Entrega-3.pdf

apuntes

-

Apuntes completos

Curso 2024-2025

PARCIAL-1.pdf
PARCIAL-2-Final-enero.pdf
TEORIA-PRACTICAS.pdf

ejercicios

-

EVALUACIÓN CONTINUA

Curso 2024-2025

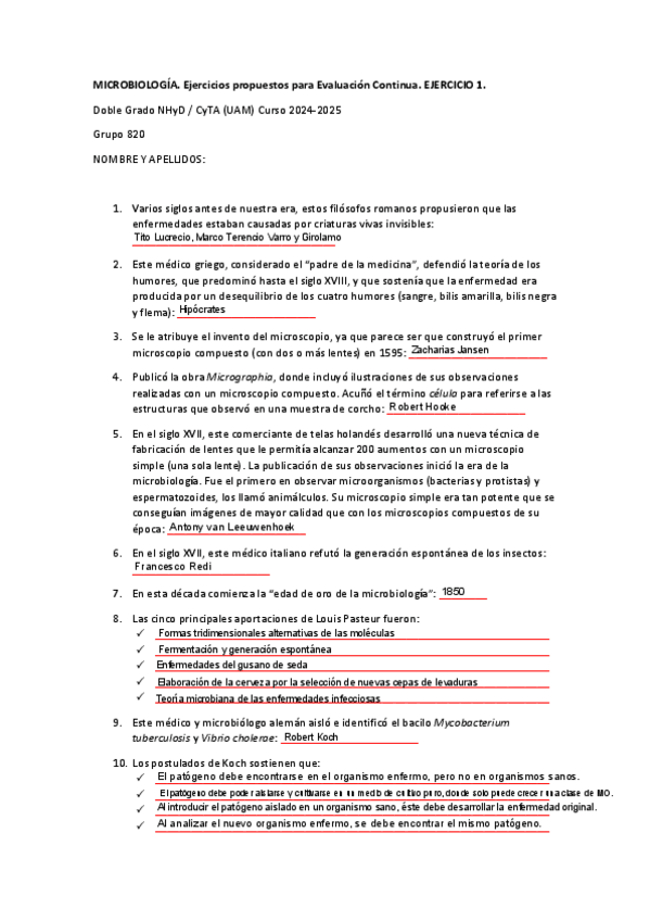
EJERCICIO-1.pdf
Miniatura no disponible
EJERCICIO-2.pdf
EJERCICIO-3.pdf

apuntes

-

ENTREGAS

He publicado nuevos apuntes de 2º Microbiología: ENTREGAS

ENTREGA-1.docx
ENTREGA-2.docx
ENTREGA-3.pdf

He publicado nuevos apuntes de 2º Microbiología: Tabla-Bacterias-Practicas.pdf

1 página

He publicado nuevos apuntes de 2º Microbiología: apuntes-1o-parcial.docx

word

apuntes

-

APUNTES MICRO

He publicado nuevos apuntes de 2º Microbiología: APUNTES MICRO

Introduccion-a-la-Microbiologia.pdf
Microscopia.pdf
Estructura-y-Funcion-de-la-Celula-Procariota.pdf
Crecimiento-Microbiano.pdf
Control-de-Crecimiento-Microbiano.pdf
Genetica-Bacteriana.pdf

He publicado nuevos apuntes de 2º Microbiología: BACTERIA-PROBLEMA.-SALMONELLA.pdf

2 páginas

He publicado nuevos apuntes de 2º Microbiología: resumen-practicas-micro.pdf

4 páginas

trabajos

-

Problemas microbiología

He publicado nuevos trabajos de 2º Microbiología: Problemas microbiología

Problemas-microbiologia-1.pdf
Problemas-microbiologia-2.pdf

He publicado nuevos apuntes de 2º Microbiología: Cuadro-resumen-bacterias-practicas.pdf

2 páginas

apuntes

-

microbiologia y parasitología

He publicado nuevos apuntes de 2º Microbiología: microbiologia y parasitología

MICROBIOLOGÍA primer examen T 1-12.pdf
WORD 3er examen (parasitología)..pdf
TUTORÍA Nº 1 DE MICROBIOLOGÍA.docx
temas 25-26,27 parasitologia.docx
TEMA 27 DE PARASITOLOGÍA.docx
Temas micro 2º examen.pdf
¡Estás al día!

¡Estás al día!

Has visto todos los archivos