Jose51
Corregida en clase
Nuevo doc 2018-10-24 19.44.51_20181024194945.pdf
20 páginas
Apuntes - Tema 1.pdf
pdf
6 páginas
365
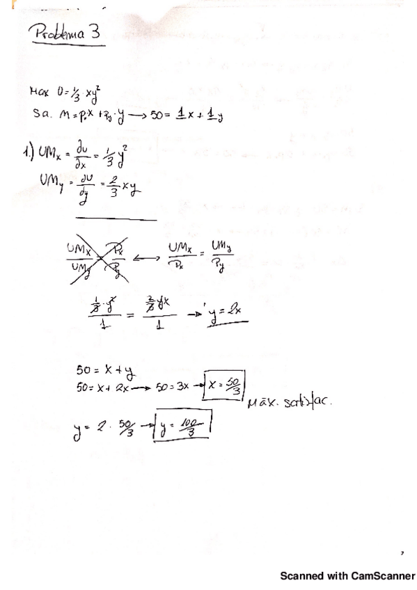
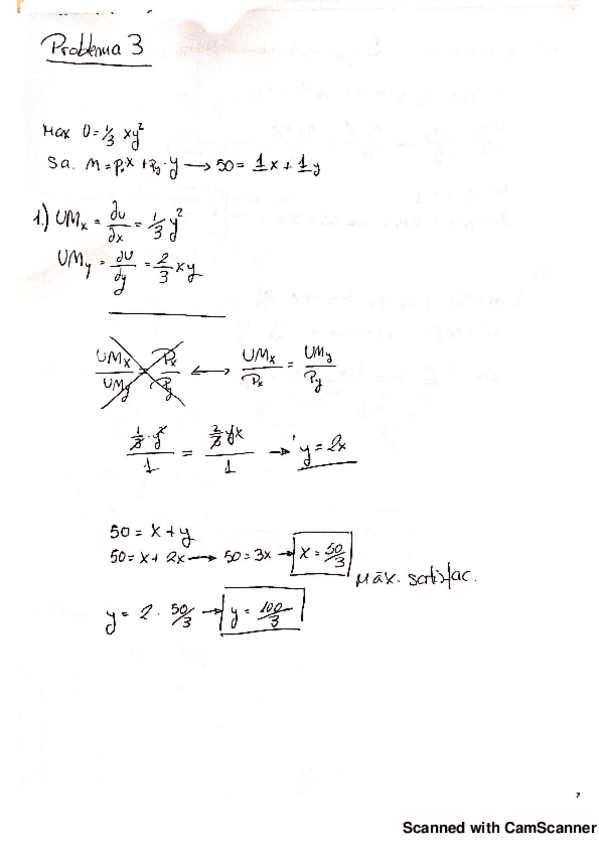
3
Ejercicios - Nuevo doc 2018-10-24 19.44.51_20181024194945.pdf
255
1
Apuntes - Tema-4.pdf
11 páginas
294
Apuntes - Tema 1. La Elasticidad de la Demanda.pdf
8 páginas
249
Apuntes - Tema-5.pdf
21 páginas
256
Apuntes - Tema-1.pdf
308
Apuntes - Tema 3.pdf
15 páginas
Apuntes - Tema-3.pdf
12 páginas
272
Apuntes - Tema-8.pdf
264
2
5 páginas
248
0
Apuntes - Tema 5.pdf
200
Apuntes - Tema-6-Los-costes-de-produccion-I.pdf
14 páginas
263
Apuntes - Tema-7.pdf
238
Apuntes - Tema-9-Mercados-competitivos-II.pdf
244
Apuntes - Tema 9. Los Mercados Competitivos (II).pdf
197
Apuntes - Tema 4.pdf
235
Apuntes - Tema 2.pdf
3 páginas
240
Apuntes - Tema 5. La producción.pdf
7 páginas
183
Apuntes - Tema 4. Teoría de la Indiferencia-Preferencia II.pdf
180
Apuntes - Tema 6. Los costes (I)..pdf
169