Ejercicios-Practicos-Tema-2.pdf
5 páginas
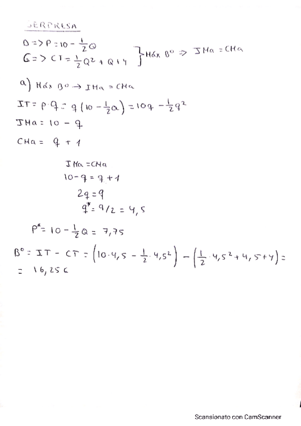
EJERCICIOS-TEMA-2-SERPRESA-Y-TELEFONETA.pdf
2 páginas
EJERCICIOS-PRACTICOS-TEMA-3.pdf
10 páginas
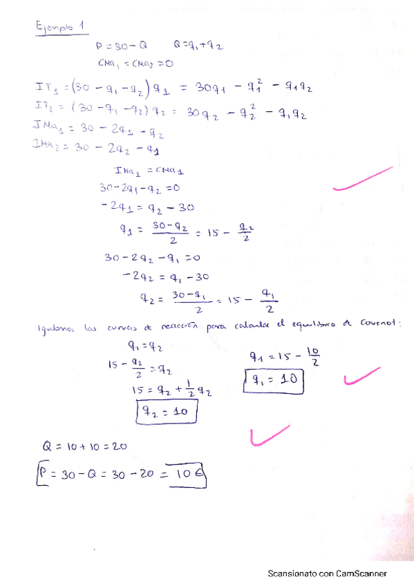
problemas-tema-6.pdf
2 páginas
CASO-INDIRECT-LINE-PROBLEMA-INFORMACION-ASIMETRICA-SELECCION-ADVERSA-Y-RIESGO-MORAL.pdf
1 página
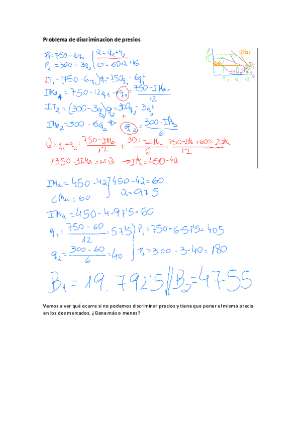
problema-discriminacion-de-precios.pdf
2 páginas