m_economia
examenes micro III i correccions
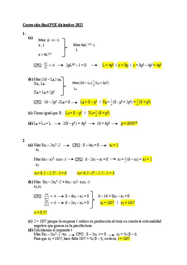
Correccion-final-PUE-diciembre-2022.pdf
2 páginas
Enunciats-final-PUE.pdf
Enunciats-parcial.pdf
1 página
Correccion-parcial-1-microeconomia-III.pdf
enunciat examen final.pdf
Apuntes - TEMA1-i-exercicis.pdf
pdf
13 páginas
38
0
Exámenes - Examen-final.pdf
36
1
Apuntes - TEMA3-i-exercicis.pdf
7 páginas
33
Apuntes - TEMA-4-i-exercicis.pdf
27
Ejercicios - EJERCICIOS-LISTA-1.pdf
6 páginas
23
2
Apuntes - RESUMEN-TODO-EL-CURSO.pdf
4 páginas
21
Apuntes - TEMA-5.pdf
20
Prácticas - Problem-Set-3-Solucio.pdf
5 páginas
22
Exámenes - Correccion-final-PUE-diciembre-2022.pdf
Apuntes - TEMA2-i-exercicis.pdf
10 páginas
Exámenes - Examen-final-Soluciones.pdf
24
Ejercicios - EJERCICIOS-LISTA-2.pdf
Prácticas - Problem-Set-4-Solucio.pdf
26
Prácticas - Problem-Set-1-Solucio-1.pdf
19
Apuntes - APUNTES-TEMA-1-Y-2.pdf
14 páginas
Exámenes - Enunciats-final-PUE.pdf
Apuntes - APUNTES-TEMA-3.pdf
18
Apuntes - APUNTES-TEMA-4.pdf
Exámenes - Enunciats-parcial.pdf
Apuntes - APUNTES-TEMA-5.pdf
15