Portada
Asignatura
Grado en Administración y Dirección de Empresas (UHU)
Microeconomía Intermedia
Fecha de subida
05 mar 2016
Categoría
ejercicios
Etiquetas
Apuntes - Graficas Examen 19.pdf
pdf
19 páginas
266
3
Exámenes - IMG-20160216-WA0037.jpg
jpg
16
0
Exámenes - IMG-20160216-WA0038.jpg
13
1
Apuntes - IMG-20160625-WA0035.jpg
27
Apuntes - Microeconomia Intermedia Problemas.pdf
218 páginas
182
Apuntes - Microeconomía Intermedia - Cuadro Resumen..pdf
4 páginas
179
Ejercicios - Soluciones ejercicios T1 y T2.pdf
32 páginas
131
Apuntes - Microeconomia Intermedia Teoria.pdf
220 páginas
110
Apuntes - Microeconomía Intermedia Clase.pdf
26 páginas
142
Apuntes - IMG-20160625-WA0038.jpg
28
Exámenes - Examen Junio 2014.pdf
1 página
153
Test - jpg2pdf.pdf
15 páginas
108
Apuntes - produccion y costes ejercicios resueltos.pdf
12 páginas
Exámenes - ejercicios-examenes-anteriores.pdf
38 páginas
119
10
Exámenes - EXAMEN MAYO 2015.pdf
2 páginas
181
Exámenes - EXAMEN-MICROECONOMIA-INTERMEDIA-SESION-1GP.docx
docx
128
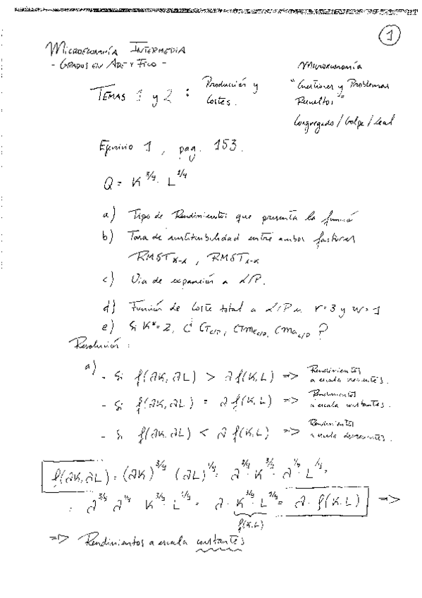
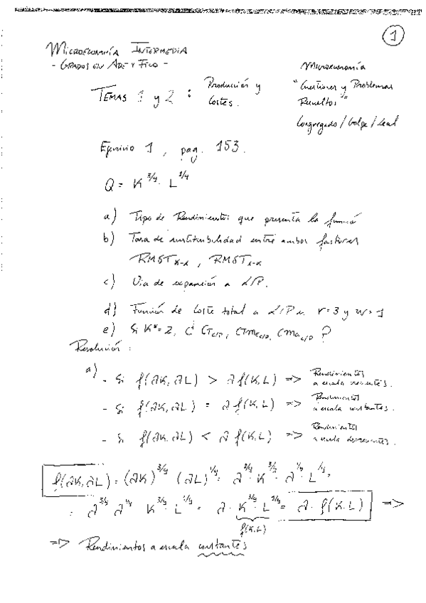
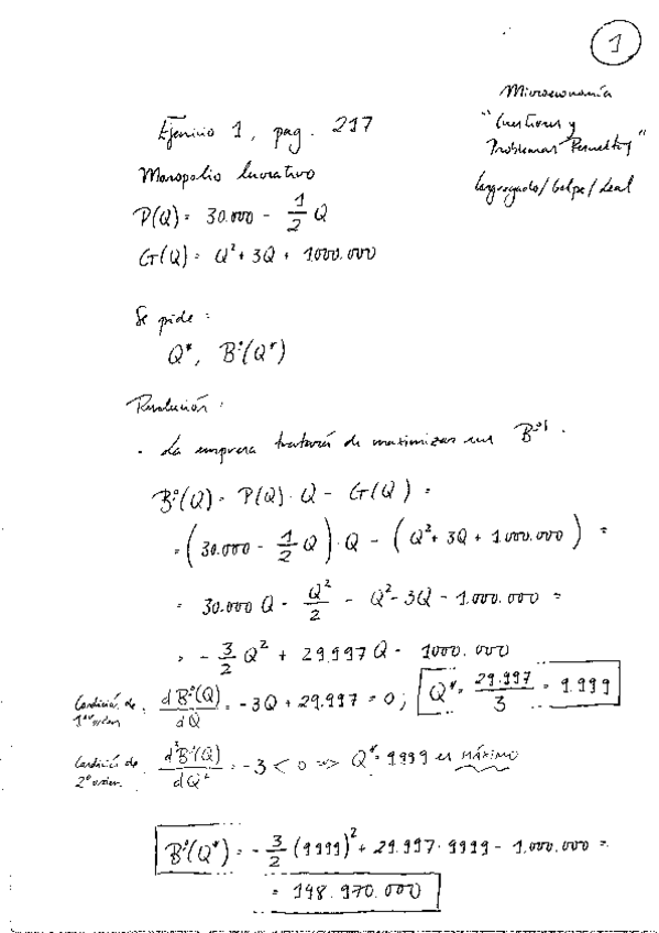
Apuntes - Microeconomia_Cuestiones y problemas. Congregado- Golpe y Leal.pdf
382 páginas
100
Exámenes - Examen Junio 2012.pdf
5 páginas
Exámenes - IMG-20160609-WA0020.jpg
7
Exámenes - EXAMEN-JUNIO-2019.jpeg
jpeg
102
2