chevron_left
chevron_right
Todo
Apuntes
Ejercicios
Exámenes
chevron_left
chevron_right

examenes

-

Examenes de Repaso

He publicado nuevos examenes de 1º Microeconomía para Empresarios: Examenes de Repaso

ExamenUFV2GADERelcIntIntEcoPC.pdf
ExamenUFV2GADERelcIntIntEcoTT.pdf
ExamenUFV2GADERelcIntIntEcoVF.pdf
ExamenUFV2GADERelcIntIntEcoExRp.pdf

He publicado nuevos apuntes de 1º Microeconomía para Empresarios: SOLUCIONESHOJA-EJERCICIOS-2.pdf

2 páginas

He publicado nuevos ejercicios de 1º Microeconomía para Empresarios: HOJA-DE-EJERCICIOS-2LA-ELASTICIDAD-Y-SU-APLICACION-1.pdf

6 páginas

He publicado nuevos ejercicios de 1º Microeconomía para Empresarios: SOLUCIONESHOJA-EJERCICIOS-1.pdf

2 páginas

He publicado nuevos ejercicios de 1º Microeconomía para Empresarios: HOJA-DE-EJERCICIOS-1LAS-FUERZAS-DE-MERCADO-1.pdf

7 páginas

He publicado nuevos apuntes de 1º Microeconomía para Empresarios: Soluciones-Hoja-de-Ejercicios-8.pdf

1 página

He publicado nuevos apuntes de 1º Microeconomía para Empresarios: Hoja-de-Ejercicios-8.pdf

4 páginas

He publicado nuevos ejercicios de 1º Microeconomía para Empresarios: Soluciones-Hoja-de-Ejercicios-5.pdf

1 página

He publicado nuevos ejercicios de 1º Microeconomía para Empresarios: Hoja-de-Ejercicios-5.pdf

5 páginas

He publicado nuevos apuntes de 1º Microeconomía para Empresarios: Soluciones-Hoja-de-Ejercicios-6.pdf

1 página

He publicado nuevos apuntes de 1º Microeconomía para Empresarios: HOJA-DE-EJERCICIOS-6Analisis-Costes.pdf

6 páginas

He publicado nuevos apuntes de 1º Microeconomía para Empresarios: Hoja-de-Ejercicios-7.pdf

4 páginas

He publicado nuevos apuntes de 1º Microeconomía para Empresarios: Ejercicio-Practico-Organizacion-de-la-Produccion.pdf

2 páginas

He publicado nuevos apuntes de 1º Microeconomía para Empresarios: modulo-5-tipos-de-competencia.pdf

2 páginas

He publicado nuevos apuntes de 1º Microeconomía para Empresarios: Ejercicio-practico-Max.-Beneficio.pdf

3 páginas

He publicado nuevos apuntes de 1º Microeconomía para Empresarios: ejercicios-practicos-modulo-1.pdf

1 página

He publicado nuevos apuntes de 1º Microeconomía para Empresarios: elasticidad-1.pdf

1 página

He publicado nuevos apuntes de 1º Microeconomía para Empresarios: MODULO-4.pdf

6 páginas

He publicado nuevos apuntes de 1º Microeconomía para Empresarios: modulo-3.pdf

4 páginas

He publicado nuevos apuntes de 1º Microeconomía para Empresarios: modulo-2.pdf

5 páginas

apuntes

-

APUNTES MICROECONOMIA M.J.BLANCH

He publicado nuevos apuntes de 1º Microeconomía para Empresarios: APUNTES MICROECONOMIA M.J.BLANCH

Tema-7.pdf
Tema-4.pdf
Tema-3.pdf
Tema-2.pdf
Tema-1.pdf

apuntes

-

Apuntes

He publicado nuevos apuntes de 1º Microeconomía para Empresarios: Apuntes

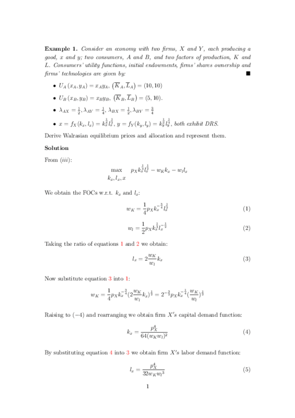
productionex1.pdf
apuntes-teoria-micro.pdf
Tabla-supuestos-implicaciones.docx
Microeconomics-Ferguson-and-Gould.pdf
r1.pdf
microtheory-uc3m.pdf
¡Estás al día!

¡Estás al día!

Has visto todos los archivos