Modelos Lineales y Diseño de Experimentos

chevron_left
chevron_right
Todo
Apuntes
Ejercicios
Exámenes
Prácticas
chevron_left
chevron_right

He publicado nuevos apuntes de 3º Modelos Lineales y Diseño de Experimentos: Apuntes-de-R-primer-parcial.pdf

6 páginas
Anónimo

@Anónimo

He publicado nuevos examenes de 3º Modelos Lineales y Diseño de Experimentos: Simulacro-R.pdf.pdf

3 páginas

He publicado nuevos apuntes de 3º Modelos Lineales y Diseño de Experimentos: TEORIA-MLDE-1ER-PARCIAL.pdf

19 páginas

examenes

-

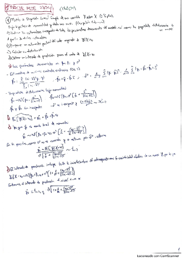
PRIMER PARCIAL R 2021/2022

He publicado nuevos examenes de 3º Modelos Lineales y Diseño de Experimentos: PRIMER PARCIAL R 2021/2022

Miniatura no disponible
PRIMER-PARCIAL-2122.qmd
PRIMER-PARCIAL-2122.pdf
datossalud.txt
hospinfectados.csv

He publicado nuevos examenes de 3º Modelos Lineales y Diseño de Experimentos: Examenes-teoria-primer-parcial-2025.pdf

8 páginas

He publicado nuevos apuntes de 3º Modelos Lineales y Diseño de Experimentos: Teoria-MLDE-1-Parcial.pdf

6 páginas
Anónimo

@Anónimo

examenes

-

Exámenes R

He publicado nuevos examenes de 3º Modelos Lineales y Diseño de Experimentos: Exámenes R

Examen080518.pdf
airepolu.txt
dietas.txt
Examen30052019.pdf
pisos.txt
datossalud.txt

apuntes

-

Resúmenes MLDE

He publicado nuevos apuntes de 3º Modelos Lineales y Diseño de Experimentos: Resúmenes MLDE

Resumen-Tema-1.pdf
Resumen-Tema-2.pdf
Resumen-Tema-3-PARTE-1.pdf
Resumen-Tema-3-Parte-II.pdf

He publicado nuevos ejercicios de 3º Modelos Lineales y Diseño de Experimentos: Cuestiones-MLDE.pdf

6 páginas

apuntes

-

Teoría MLDE

He publicado nuevos apuntes de 3º Modelos Lineales y Diseño de Experimentos: Teoría MLDE

Teoria-MLDE-Primer-Parcial.pdf
Teoria-MLDE-Segundo-Parcial.pdf

apuntes

-

Apuntes MLDE

He publicado nuevos apuntes de 3º Modelos Lineales y Diseño de Experimentos: Apuntes MLDE

Tema-5-MLDE.pdf
Tema-4-MLDE.pdf

apuntes

-

Temas completos

He publicado nuevos apuntes de 3º Modelos Lineales y Diseño de Experimentos: Temas completos

T1.-Introduccion-a-la-Modernizacion-Estadistica.pdf
T2.MLDE.-Distribuciones-para-la-modernizacion-estadistica-lineal.pdf
T3.-MLDE.-Regresion-Lineal-Multiple.pdf
T4.-Modelo-Lineal-Generalizado.pdf
T5.-Modelo-de-regresion-Logistica-simple.pdf

Se puede llevar al examen

8 páginas

He publicado nuevos examenes de 3º Modelos Lineales y Diseño de Experimentos: primerparcial2324MLDEresuelto.pdf

4 páginas

examenes

-

Exámenes de teoría

He publicado nuevos examenes de 3º Modelos Lineales y Diseño de Experimentos: Exámenes de teoría

Miniatura no disponible
Primer-parcial-Teoria.pdf
Miniatura no disponible
Segundo-parcial-Teoria.pdf

apuntes

-

Temas de teoría

He publicado nuevos apuntes de 3º Modelos Lineales y Diseño de Experimentos: Temas de teoría

Tema-3-MLDE.pdf
Miniatura no disponible
Tema-4-MLDE.pdf
Tema-5-MLDE.pdf

He publicado nuevos apuntes de 3º Modelos Lineales y Diseño de Experimentos: Modelo-Regresion-Logistica.pdf

4 páginas

He publicado nuevos apuntes de 3º Modelos Lineales y Diseño de Experimentos: Distribuciones-de-la-Familia-Exponencial.pdf

2 páginas

He publicado nuevos apuntes de 3º Modelos Lineales y Diseño de Experimentos: Modelo-Lineal-Generalizado.pdf

2 páginas

He publicado nuevos ejercicios de 3º Modelos Lineales y Diseño de Experimentos: Ejercicios-Diseno-Experimentos.pdf

6 páginas

Modelo de Regresión Lineal Simple y Múltiple

13 páginas

He publicado nuevos examenes de 3º Modelos Lineales y Diseño de Experimentos: Segundo-Parcial-Teoria.pdf

3 páginas

He publicado nuevos examenes de 3º Modelos Lineales y Diseño de Experimentos: Primer-Parcial-Teoria.pdf

1 página

apuntes

-

Teoría completa por temas

Con demostraciones

Tema-1.pdf
Tema-2.pdf
Tema-3.pdf
Tema-4.pdf
Tema-5.pdf

He publicado nuevos apuntes de 3º Modelos Lineales y Diseño de Experimentos: TEORIA-MLDE-1-PARCIAL.pdf

31 páginas

He publicado nuevos apuntes de 3º Modelos Lineales y Diseño de Experimentos: TEORIA-MLDE-2-PARCIAL.pdf

20 páginas

He publicado nuevos examenes de 3º Modelos Lineales y Diseño de Experimentos: EXAMEN-PREFINAL-2024.pdf

3 páginas

He publicado nuevos apuntes de 3º Modelos Lineales y Diseño de Experimentos: RegresionLogistica.pdf

20 páginas

He publicado nuevos apuntes de 3º Modelos Lineales y Diseño de Experimentos: ModeloLinealGeneralizado.pdf

16 páginas

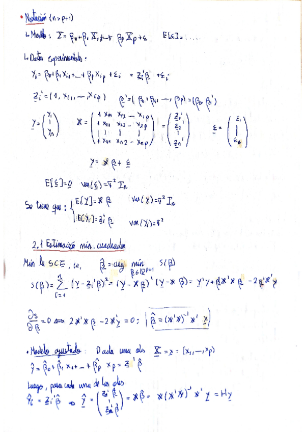
He publicado nuevos apuntes de 3º Modelos Lineales y Diseño de Experimentos: RegresionLinealMultiple.pdf

7 páginas

He publicado nuevos apuntes de 3º Modelos Lineales y Diseño de Experimentos: RegresionLinealSimple.pdf

13 páginas

He publicado nuevos apuntes de 3º Modelos Lineales y Diseño de Experimentos: ResumenTema1.pdf

7 páginas

He publicado nuevos apuntes de 3º Modelos Lineales y Diseño de Experimentos: ResumenTema2.pdf

7 páginas

He publicado nuevos apuntes de 3º Modelos Lineales y Diseño de Experimentos: DemTema2.pdf

9 páginas

He publicado nuevos apuntes de 3º Modelos Lineales y Diseño de Experimentos: DemTema1.pdf

16 páginas

He publicado nuevos examenes de 3º Modelos Lineales y Diseño de Experimentos: 1o-PARCIAL.pdf

2 páginas

examenes

-

PRACTICA 2022 RESUELTO primer parcial grupo B

He publicado nuevos examenes de 3º Modelos Lineales y Diseño de Experimentos: PRACTICA 2022 RESUELTO primer parcial grupo B

Primer-parcial-PRACTICAS-2022-RESUELTO-grupo-B.pdf
Miniatura no disponible
hospinfectados.csv

examenes

-

PRACTICA Primera Convocatoria 2023 RESUELTO

He publicado nuevos examenes de 3º Modelos Lineales y Diseño de Experimentos: PRACTICA Primera Convocatoria 2023 RESUELTO

PRACTICA-Primera-Convocatoria-2023-RESUELTO.pdf
Miniatura no disponible
bmd.csv

examenes

-

Control Pisos RESUELTO - prácticas

He publicado nuevos examenes de 3º Modelos Lineales y Diseño de Experimentos: Control Pisos RESUELTO - prácticas

Control-Pisos-RESUELTO.pdf
Miniatura no disponible
pisos.txt

examenes

-

Control Airepolu RESUELTO - practicas R

He publicado nuevos examenes de 3º Modelos Lineales y Diseño de Experimentos: Control Airepolu RESUELTO - practicas R

Control-Airepolu-RESUELTO.pdf
Miniatura no disponible
airepolu.txt

He publicado nuevos examenes de 3º Modelos Lineales y Diseño de Experimentos: Primera-Convocatoria-2023-RESUELTO-teoria.pdf

10 páginas

He publicado nuevos apuntes de 3º Modelos Lineales y Diseño de Experimentos: Tema-6.pdf

2 páginas

He publicado nuevos apuntes de 3º Modelos Lineales y Diseño de Experimentos: Tema-5.pdf

6 páginas

He publicado nuevos apuntes de 3º Modelos Lineales y Diseño de Experimentos: Apuntes-segundo-parcial-mlde.pdf

51 páginas

He publicado nuevos apuntes de 3º Modelos Lineales y Diseño de Experimentos: Apuntes-tema-6-y-ejercicios-relacion-4.pdf

11 páginas

Comparaciones de las salidas de Rstudio con las hipotesis y contrastes.

26 páginas

He publicado nuevos apuntes de 3º Modelos Lineales y Diseño de Experimentos: Apuntes-tema-4.pdf

14 páginas

Parte de R primer parcial prácticas 2024

Miniatura no disponible
zip

He publicado nuevos apuntes de 3º Modelos Lineales y Diseño de Experimentos: Tema-4.pdf

4 páginas

He publicado nuevos apuntes de 3º Modelos Lineales y Diseño de Experimentos: Tema-3.pdf

15 páginas

apuntes

-

Chuletario

He publicado nuevos apuntes de 3º Modelos Lineales y Diseño de Experimentos: Chuletario

Chuletario.pdf
Resumen-Primer-Parcial.pdf

apuntes

-

Relaciones resueltas

He publicado nuevos apuntes de 3º Modelos Lineales y Diseño de Experimentos: Relaciones resueltas

Relacion-1.pdf
Relacion-2.pdf
Relacion-3.pdf
Relacion-4.pdf

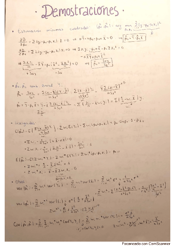
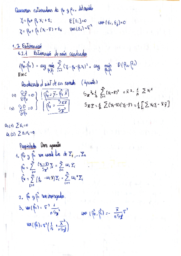
TODAS LAS DEMOSTRACIONES Y CONSEJOS!!

40 páginas

He publicado nuevos apuntes de 3º Modelos Lineales y Diseño de Experimentos: MLDE.pdf

123 páginas

He publicado nuevos apuntes de 3º Modelos Lineales y Diseño de Experimentos: Tema-2.pdf

3 páginas

He publicado nuevos apuntes de 3º Modelos Lineales y Diseño de Experimentos: Tema-1.pdf

2 páginas

He publicado nuevos examenes de 3º Modelos Lineales y Diseño de Experimentos: PrefinalTeoriaMLDE2021.pdf

1 página
Anónimo

@Anónimo

He publicado nuevos apuntes de 3º Modelos Lineales y Diseño de Experimentos: ExamenPrimeraConvocatoria2023-MLDE.pdf

1 página

He publicado nuevos examenes de 3º Modelos Lineales y Diseño de Experimentos: Primera-Convocatoria-22-23.pdf

5 páginas

He publicado nuevos examenes de 3º Modelos Lineales y Diseño de Experimentos: Ejercicios-Diseno-de-Experimentos-Exame.pdf

11 páginas