AeroRulay
Todos los ejs Garceta+Teoría+Exams
MCh-P1-Exams.pdf
5 páginas
MCh-P2-Problemas-Libro.pdf
19 páginas
MCh-P1-Ejemplos-Libro.pdf
MCh-P1-Preguntas-Teoria.pdf
6 páginas
MCh-P1-Problemas-Libro.pdf
22 páginas
Apuntes - Apuntes.pdf
pdf
151 páginas
518
3
Exámenes - VA-Parcial-1-Teoria-Soluciones.pdf
2 páginas
432
2
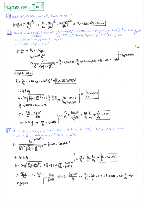
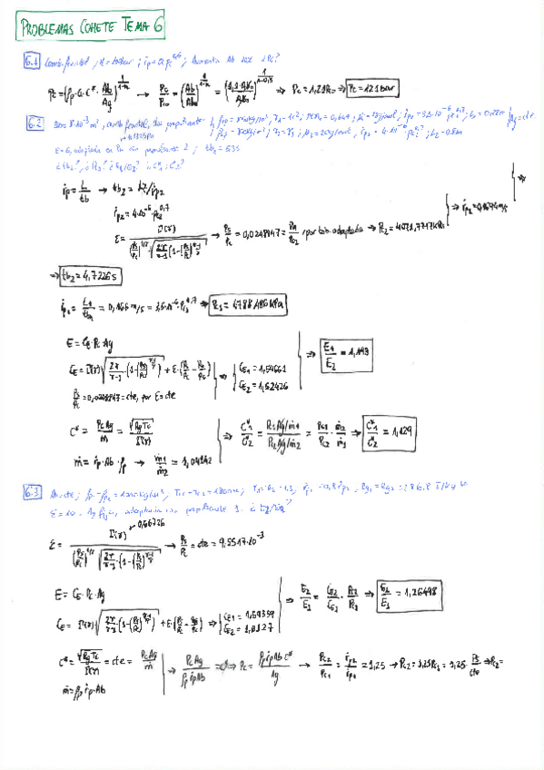
Apuntes - M.Cohete: Resumen y problemas Moodle Lección 5.pdf
18 páginas
351
0
Apuntes - Cohete.pdf
21 páginas
368
Exámenes - VA 2015-2016 Parcial 1 problemas soluciones(20-04-16).pdf
0 páginas
317
Exámenes - Abril 2016 Teoría (Parcial 1) NS.pdf
429
Exámenes - Marzo 2015.pdf
10 páginas
316
Exámenes - Parcial 14-15.pdf
11 páginas
430
Exámenes - Examen Final Enero 2018.pdf
17 páginas
538
1
Exámenes - Recopilacion-Teoria-P2-Hasta-2021.pdf
13 páginas
656
Exámenes - Mayo 2016 Teoría (Parcial 2) NS.pdf
4 páginas
389
Apuntes - M. Cohete resumen y ejecicios tema 3 y 4.pdf
9 páginas
237
Apuntes - MCh-P2-Problemas-Libro.pdf
543
Apuntes - MCh-P1-Problemas-Libro.pdf
5
Exámenes - VA 2015-2016 Parcial 2-PL Enunciados 27-05.pdf
320
Exámenes - Junio 2015 Problema 1.pdf
264
Exámenes - ExamenesP2-MCh.pdf
42 páginas
443
Exámenes - Solucion-TEORIA-Examen-Final-20-01-15.pdf
306
Exámenes - Examen parcial 1-19.04.17.pdf
14 páginas
392
Exámenes - Teoría examen (22-01-2018).pdf
395