Muestreo Estadistico

chevron_left
chevron_right
Todo
Apuntes
Ejercicios
Exámenes
chevron_left
chevron_right

He publicado nuevos examenes de 3º Muestreo Estadistico: Examen-enero-2026.pdf

1 página

hecho con gemini

2 páginas

Resumen (sin demostraciones) de todos los temas

12 páginas

He publicado nuevos apuntes de 3º Muestreo Estadistico: frases-corregidas-test.pdf

1 página

ejercicios

-

Problemas de Muestreo Estadístico

He publicado nuevos ejercicios de 3º Muestreo Estadistico: Problemas de Muestreo Estadístico

Problemas resueltos de Muestreo Estadístico - Parte 1.pdf
Problemas resueltos de Muestreo Estadístico - Parte 2.pdf

apuntes

-

Apuntes de Muestreo Estadístico

He publicado nuevos apuntes de 3º Muestreo Estadistico: Apuntes de Muestreo Estadístico

Tema 1 - Nociones generales sobre muestreo estadístico en poblaciones finitas.pdf
Tema 2 - Muestreo aleatorio simple.pdf
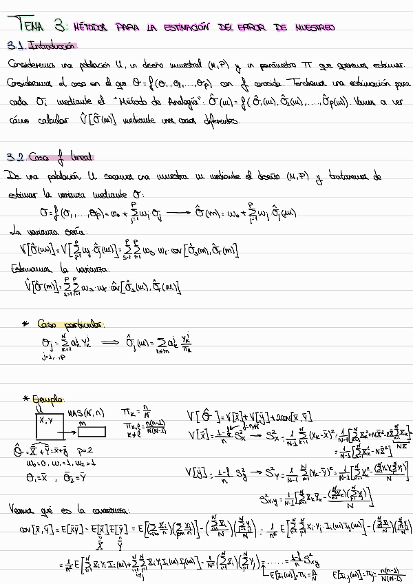
Tema 3 - Métodos para la estimación del error de muestreo.pdf
Tema 4 - Muestreo Sistemático.pdf
Tema 5 - Muestreo Estratificado.pdf
Tema 6 - Muestreo por conglomerados.pdf

He publicado nuevos ejercicios de 3º Muestreo Estadistico: Relacion-de-problemas-resuelto.pdf

23 páginas

He publicado nuevos apuntes de 3º Muestreo Estadistico: Ayuda-para-la-resolucion-del-tipo-test.pdf

5 páginas

He publicado nuevos examenes de 3º Muestreo Estadistico: Examen-final-27-enero-2022-resuelto.pdf

5 páginas

He publicado nuevos examenes de 3º Muestreo Estadistico: Examen-final-24-enero-2023-resuelto.pdf

5 páginas

He publicado nuevos examenes de 3º Muestreo Estadistico: Examen-final-22-enero-2024-resuelto.pdf

4 páginas

He publicado nuevos examenes de 3º Muestreo Estadistico: Examen-final-18-enero-2022-resuelto.pdf

5 páginas

He publicado nuevos examenes de 3º Muestreo Estadistico: Examen-final-21-enero-2021-resuelto.pdf

5 páginas

apuntes

-

Apuntes de clase 24-25

He publicado nuevos apuntes de 3º Muestreo Estadistico: Apuntes de clase 24-25

Tema-1-Nociones-generales-sobre-muestreo-estadistico-en-poblaciones-finitas.pdf
Tema-2-Muestreo-Aleatorio-Simple.pdf
Tema-3-Metodos-para-la-estimacion-del-error-de-muestreo.pdf
Tema-4-Muestreo-Sistematico.pdf
Tema-5-Muestreo-Estratificado.pdf
Tema-6-Muestreo-por-conglomerado.pdf

He publicado nuevos examenes de 3º Muestreo Estadistico: tipotestdeexamenes.pdf

7 páginas

He publicado nuevos ejercicios de 3º Muestreo Estadistico: Actividad-Evaluable-2.pdf

1 página

He publicado nuevos ejercicios de 3º Muestreo Estadistico: Actividad-Evaluable-1.pdf

1 página

He publicado nuevos examenes de 3º Muestreo Estadistico: Examen-final-24-enero-2023.pdf

3 páginas

He publicado nuevos examenes de 3º Muestreo Estadistico: Examen-final-22-enero-2024.pdf

3 páginas

He publicado nuevos ejercicios de 3º Muestreo Estadistico: Actividad-evaluable-1-hecho.pdf

3 páginas

apuntes

-

Tema 9

He publicado nuevos apuntes de 3º Muestreo Estadistico: Tema 9

Apuntes-de-clase231218134846.pdf

apuntes

-

Tema 8

He publicado nuevos apuntes de 3º Muestreo Estadistico: Tema 8

Ejercicios-de-clase231211130524.pdf
Ejercicios-de-clase231211130524.pdf

apuntes

-

Tema 7

He publicado nuevos apuntes de 3º Muestreo Estadistico: Tema 7

Apuntes-de-clase231205200151.pdf

apuntes

-

Tema 6

He publicado nuevos apuntes de 3º Muestreo Estadistico: Tema 6

Apuntes-de-clase231128142123.pdf
Ejercicios-de-clase231201205843.pdf

apuntes

-

Tema 5

He publicado nuevos apuntes de 3º Muestreo Estadistico: Tema 5

Apuntes-de-clase231122144442.pdf
Ejercicios-de-clase231121114452.pdf

apuntes

-

Tema 4

He publicado nuevos apuntes de 3º Muestreo Estadistico: Tema 4

Ejercicios-de-clase231025213805.pdf
Apuntes-de-clase231024125455.pdf

apuntes

-

Tema 3

He publicado nuevos apuntes de 3º Muestreo Estadistico: Tema 3

Ejercicios-de-clase231016130420-1.pdf
Apuntes-de-clase231021182352.pdf

apuntes

-

Tema 2

He publicado nuevos apuntes de 3º Muestreo Estadistico: Tema 2

Apuntes-de-clase-231017192437.pdf
Ejercicios-de-clase231003130517-1.pdf

apuntes

-

Tema 1

He publicado nuevos apuntes de 3º Muestreo Estadistico: Tema 1

Ejercicios-de-clase-230922125321.pdf
Apuntes-de-clase-230922123939.pdf

apuntes

-

Apuntes muestreo 22/23

He publicado nuevos apuntes de 3º Muestreo Estadistico: Apuntes muestreo 22/23

Tema-1.pdf
Tema-9.pdf
Tema-6-Muestreo-Por-Conglomerado.pdf
Tema-5-Muestreo-Estratificado.pdf
Tema-8.pdf
Tema-4-Muestreo-Sistematico.pdf

apuntes

-

Exámenes de muestreo y test con solución

He publicado nuevos apuntes de 3º Muestreo Estadistico: Exámenes de muestreo y test con solución

examenme18enero2022.pdf
examenme27enero2022.pdf
examenmeenero2021.pdf
¡Estás al día!

¡Estás al día!

Has visto todos los archivos