Muestreo Estadistico

Todo
Apuntes
Ejercicios
chevron_left
chevron_right

Apuntes y ejercicios.

13 páginas

Apuntes y ejercicios.

13 páginas

Apuntes y ejercicios.

13 páginas

Apuntes y ejercicios.

20 páginas

Apuntes y ejercicios.

16 páginas

Apuntes y ejercicios.

17 páginas

Apuntes y ejercicios.

18 páginas

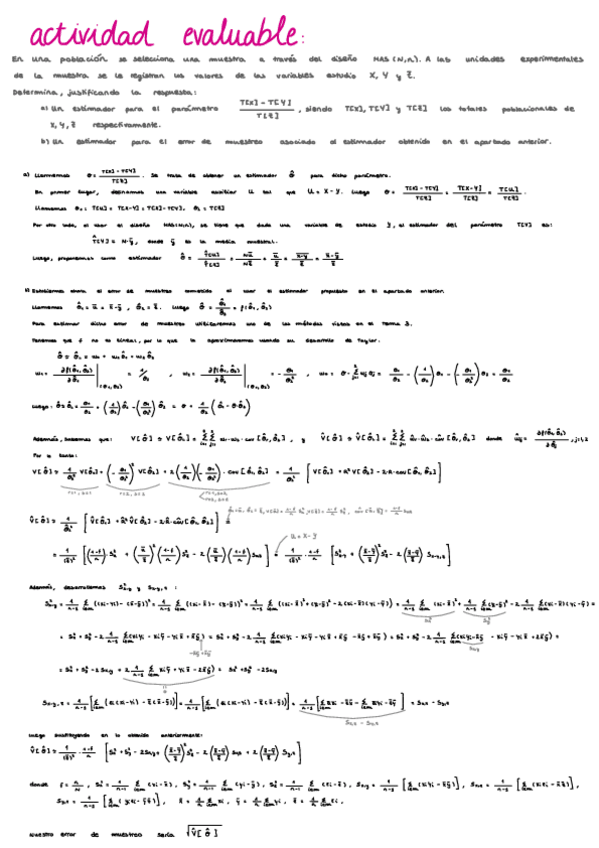
He publicado nuevos ejercicios de 4º Muestreo Estadistico: Actividad-Evaluable.pdf

2 páginas

apuntes

-

Muestreo Estadístico

He publicado nuevos apuntes de 4º Muestreo Estadistico: Muestreo Estadístico

actividad1.pdf
Tabla-distribucion-normal.pdf
Actividades-Muestreo-Estadistico.pdf
Fichas-muestreo-estadistico.pdf
Examenes-muestreo-estadistico.pdf
actividad2-1.pdf

He publicado nuevos ejercicios de 4º Muestreo Estadistico: Muestreof.pdf

28 páginas