Operacions Unitàries I

chevron_left
chevron_right
Todo
Apuntes
Preguntas
Ejercicios
Exámenes
Prácticas
publication
Test
chevron_left
chevron_right

He publicado nuevos apuntes de 2º Operacions Unitàries I: APUNTS-OPERACIONS-UNITARIES-TOT-TEMARI.pdf.pdf

39 páginas

apuntes

-

APUNTS OPERACIONS UNITÀRIES I

He publicado nuevos apuntes de 2º Operacions Unitàries I: APUNTS OPERACIONS UNITÀRIES I

BLOC-1-APUNTS-COMPLETS-INTRODUCCIO-OPERACIONS-UNITARIES.pdf
BLOC-2-APUNTS-COMPLETS-CIRCULACIO-DE-FLUIDS-NEWTONIANS.-BALANC-DE-MATERIA.pdf
BLOC-3-APUNTS-COMPLETS.pdf

apuntes

-

Tots els apunts 2025

He publicado nuevos apuntes de 2º Operacions Unitàries I: Tots els apunts 2025

Tema-0.pdf
Tema-1.pdf
Tema-2.pdf

He publicado nuevos apuntes de 2º Operacions Unitàries I: Tema-3.pdf

7 páginas

He publicado nuevos apuntes de 2º Operacions Unitàries I: Tema-2.pdf

22 páginas

ejercicios

-

Ejercicios ope (T2+T3)

He publicado nuevos ejercicios de 2º Operacions Unitàries I: Ejercicios ope (T2+T3)

Problemas-operaciones-estado-estacionario-T3.pdf
Problemas-operaciones-estado-NO-estacionario-T3.pdf
Problemas-operaciones-fluidos-newtonianos-T2.pdf
Problemas-operaciones-fluidos-NO-newtonianos-T2.pdf

apuntes

-

PROBLEMES RESOLTS OPERACIONS UNITÀRIES

He publicado nuevos apuntes de 2º Operacions Unitàries I: PROBLEMES RESOLTS OPERACIONS UNITÀRIES

T2-Problemes-fluids-newtonians.pdf
T2-Problemes-fluids-no-newtonians.pdf
T3-Problemes-conduccio-estacionaria.pdf
T3-Problemes-conduccio-no-estacionaria.pdf
T4-Problemes-intercambiadors.pdf
Test-de-prova.pdf

He publicado nuevos apuntes de 2º Operacions Unitàries I: FORMULARI-1.pdf

3 páginas

He publicado nuevos apuntes de 2º Operacions Unitàries I: FORMULARI-2.pdf

4 páginas

He publicado nuevos apuntes de 2º Operacions Unitàries I: FORMULARI-3.pdf

1 página

apuntes

-

Formulari operacions unitàries I

He publicado nuevos apuntes de 2º Operacions Unitàries I: Formulari operacions unitàries I

Formulari-tema-2-fluids-newtonians.pdf
Formulari-tema-2-fluids-no-newtonians.pdf
Formulari-tema-3-estacionari-no-estacionari.pdf
Formulari-tema-4-transmissio-de-calor.pdf

practicas

-

Pràctiques Operacions Unitàries

He publicado nuevos practicas de 2º Operacions Unitàries I: Pràctiques Operacions Unitàries

INFORME-FORN-CONVECCIO.pdf
INFORME-REOLOGIA.pdf

He publicado nuevos examenes de 2º Operacions Unitàries I: test-2024.pdf

2 páginas

He publicado nuevos ejercicios de 2º Operacions Unitàries I: PROBLEMA-14.pdf

2 páginas

He publicado nuevos ejercicios de 2º Operacions Unitàries I: problema-7.pdf

1 página

He publicado nuevos ejercicios de 2º Operacions Unitàries I: problema-14.pdf

2 páginas

He publicado nuevos apuntes de 2º Operacions Unitàries I: Formulari-OPE-I-tots-els-temes.pdf

11 páginas

He publicado nuevos apuntes de 2º Operacions Unitàries I: TEMA-4-disseny-termic.pdf

7 páginas

He publicado nuevos apuntes de 2º Operacions Unitàries I: TEMA-2-sencer-Circulacio-de-fluids.pdf

36 páginas

He publicado nuevos practicas de 2º Operacions Unitàries I: Practica-hidratacio-cigrons-operacions-unitaries.pdf

6 páginas

He publicado nuevos practicas de 2º Operacions Unitàries I: Practica-forn-operacions-unitaries.pdf

8 páginas

He publicado nuevos apuntes de 2º Operacions Unitàries I: ope.pdf

3 páginas

He publicado nuevos apuntes de 2º Operacions Unitàries I: Tema-1-Introduccio.pdf

10 páginas

He publicado nuevos apuntes de 2º Operacions Unitàries I: Tema-3-Trasmissio-de-calor-Estacionari-i-No-estacionari.pdf

12 páginas

examenes

-

Examens

He publicado nuevos examenes de 2º Operacions Unitàries I: Examens

examen-final-2013.pdf
examen-final-2014.pdf
Examen-final-2014.pdf
Examen-final.pdf

apuntes

-

PROBLEMES

He publicado nuevos apuntes de 2º Operacions Unitàries I: PROBLEMES

PROBLEMES-fluids-NO-newtonians.pdf
PROBLEMES-estats.pdf
PROBLEMES-intercanviador-calor.pdf
PROBLEMES-fluids-newtonians.pdf

He publicado nuevos apuntes de 2º Operacions Unitàries I: Examen-teoria-op.pdf

18 páginas
Anónimo

@Anónimo

He publicado nuevos apuntes de 2º Operacions Unitàries I: EXAMEN-TEORIC-OPERACIONS-UNITARIES.pdf

8 páginas

ejercicios

-

convecció tema 4

He publicado nuevos ejercicios de 2º Operacions Unitàries I: convecció tema 4

IMG2782.pdf
formulari-tema-4.pdf

He publicado nuevos apuntes de 2º Operacions Unitàries I: IMG2020.pdf

7 páginas

Exàmen 28 d'abril

quins temes surten a exàmen la setmana que vé d'OP.UNITÀRIES I ?

He publicado nuevos ejercicios de 2º Operacions Unitàries I: Problemes-tema-2-Fluids-newtonians.pdf

5 páginas

problemes operacions unitaries

Algú té els problemes que va fent la profe de Operacions unitaries I a classe i que seràn d'examen?

Anónimo

@Anónimo

apuntes

-

APUNTS PER TEMA

He publicado nuevos apuntes de 2º Operacions Unitàries I: APUNTS PER TEMA

TEMA-1-Documents-de-Google.pdf
TEMA-2-Documents-de-Google.pdf
tema-3-4-6-part-2.pdf
TEMA3-4-6.pdf

apuntes

-

Formularis de tots els temes

He publicado nuevos apuntes de 2º Operacions Unitàries I: Formularis de tots els temes

B09F7663-E57D-4C3A-ABF9-9C838EDAC51F.jpg
AB606D4B-2EE3-4825-BB13-A3A27BBE362F.jpg
2F131368-7361-4336-90BD-8D0E4DDE3803.jpg
638BCB2B-7979-4F2C-A06E-CF25C1F876A8.jpg
D657BEEE-12E3-4D11-A1BD-D5307D695CD5.jpg
96D7573D-747D-44D5-BA81-CCBCA902EE12.jpg

He publicado nuevos examenes de 2º Operacions Unitàries I: Test--studocu.pdf

7 páginas

He publicado nuevos examenes de 2º Operacions Unitàries I: test-repaso.pdf

3 páginas

He publicado nuevos apuntes de 2º Operacions Unitàries I: TEMA-6.pdf

2 páginas

He publicado nuevos apuntes de 2º Operacions Unitàries I: TEMA-5.pdf

5 páginas

He publicado nuevos test de 2º Operacions Unitàries I: Test.pdf

4 páginas

He publicado nuevos apuntes de 2º Operacions Unitàries I: Formulari-tema-4210517234213.pdf

1 página

ejercicios

-

Exercicis TEMA 4

He publicado nuevos ejercicios de 2º Operacions Unitàries I: Exercicis TEMA 4

182183DF-149F-4D79-A68D-8B005A90C029.jpg
1182E922-EF23-4786-AFD3-34845D4FA0ED.jpg
FEE260B4-71BC-42E8-9709-DDA935FAC123.jpg
B9198421-A5DD-4A56-AAC6-38E2DD0ECA15.jpg
FD0A331A-2799-44C5-A9DB-89E13444D8C3.jpg
B1760A74-4AAD-4F6B-A394-05BA1173D6F4.jpg

ejercicios

-

Exercicis TEMA 3

He publicado nuevos ejercicios de 2º Operacions Unitàries I: Exercicis TEMA 3

8E7F8D08-4DAC-4CC3-A581-4868728044BA.jpg
85BEA400-D8AB-47C3-8A1C-DA379E9A6DF1.jpg
7B80EF0D-9B7F-44A6-A343-4134910ACDAA.jpg
7A9DFF9C-8650-4A5B-A6BA-C0BA3600FFDD.jpg
1149860A-A4EB-4F13-885A-902F5EDE8090.jpg
E07F5C39-5645-4C7E-ADEB-2C4560C1027B.jpg

He publicado nuevos apuntes de 2º Operacions Unitàries I: 8671482E-7E05-4AD7-9805-5BF0FD5F114D.jpg

Imagen

apuntes

-

Formulari Tema 3 (EE i E no E)

He publicado nuevos apuntes de 2º Operacions Unitàries I: Formulari Tema 3 (EE i E no E)

2E4D631E-3AD3-499F-9526-01181DE87983.jpg
9CD61863-2B91-4EEA-AA5F-12E9486C1BEA.jpg

He publicado nuevos ejercicios de 2º Operacions Unitàries I: Exercicis-T4210516225542.pdf

8 páginas

He publicado nuevos apuntes de 2º Operacions Unitàries I: TEMA-4.pdf

2 páginas

He publicado nuevos apuntes de 2º Operacions Unitàries I: Formulari-tema-3210514122348.pdf

2 páginas

He publicado nuevos ejercicios de 2º Operacions Unitàries I: Exercicis-t3-no-estacionari210513225332.pdf

11 páginas

He publicado nuevos apuntes de 2º Operacions Unitàries I: TEMA-4.pdf

3 páginas

He publicado nuevos apuntes de 2º Operacions Unitàries I: TEMA-4.pdf

5 páginas

He publicado nuevos ejercicios de 2º Operacions Unitàries I: Exercicis-t3-estacionari210511175437.pdf

3 páginas

He publicado nuevos apuntes de 2º Operacions Unitàries I: TEMA-3.pdf

1 página

He publicado nuevos apuntes de 2º Operacions Unitàries I: TEMA-3.pdf

6 páginas

He publicado nuevos apuntes de 2º Operacions Unitàries I: TEMA-3.pdf

6 páginas

ejercicios

-

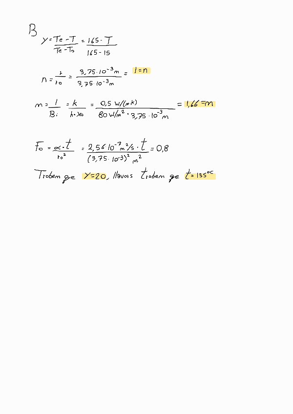
Exercicis Tema 3. Transmissió de calor

He publicado nuevos ejercicios de 2º Operacions Unitàries I: Exercicis Tema 3. Transmissió de calor

2A10B3ED-655E-4E5E-B6F4-4D63D4D77452.jpg
6F8D4C58-B32B-4899-9D3F-BB6BB9A96C2B.jpg
12EC7A0D-0D58-4B12-98DC-AF98C0E35BC2.jpg
E26870DF-6FB9-48CA-9E57-3232CB6C8949.jpg
B66278F3-C0A6-48EA-A10C-EB25B86C4C23.jpg
12AD6C21-46A4-4A89-AFEB-25B8627E26D8.jpg

ejercicios

-

Exercicis Fluids No Newtonians

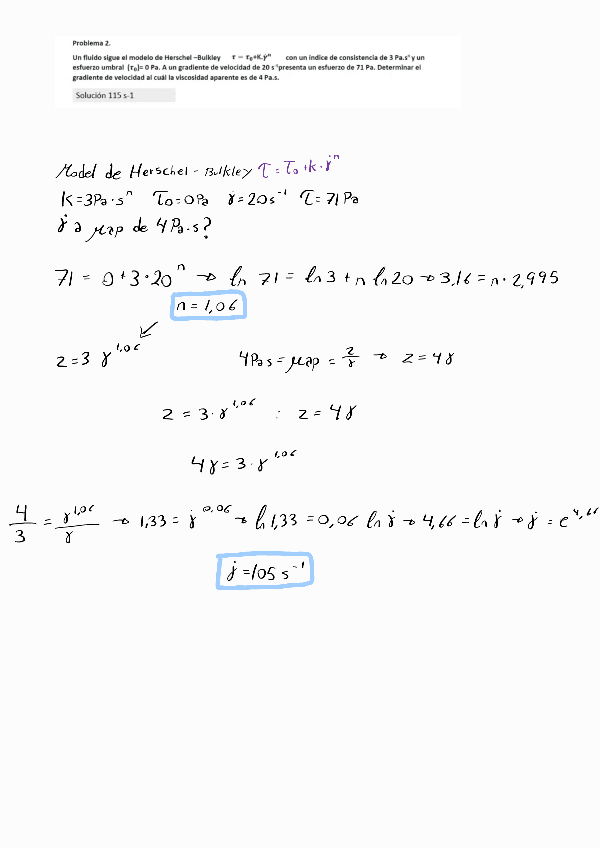
He publicado nuevos ejercicios de 2º Operacions Unitàries I: Exercicis Fluids No Newtonians

BDE3ABF3-2A01-454C-8046-9BD7F273B830.jpg
91296EFE-A7F5-47AE-A9D7-59050C684C15.jpg
D14C2A7C-153D-416C-A824-97EADA46B95E.jpg
6BD276A0-527E-411C-B968-2A0A474E569D.jpg
0C6C74E5-7D9F-44DC-8BCD-017E15C380CF.jpg
E4570F83-002C-4DF7-9181-AA528CB69F62.jpg

He publicado nuevos ejercicios de 2º Operacions Unitàries I: Problema-7-i-8-de-fluids-no-newtonians.xlsx

excel

apuntes

-

Formulari Fluids NO Newtonians (2.5-2.7)

He publicado nuevos apuntes de 2º Operacions Unitàries I: Formulari Fluids NO Newtonians (2.5-2.7)

6638F15C-C275-4058-8723-2E56835EE142.jpg
B8A9C69A-556A-4AE5-92AE-A5F2CCE8F0B2.jpg
BD0C6EF7-37D2-4AC9-86D0-BF1BAFF92756.jpg

He publicado nuevos ejercicios de 2º Operacions Unitàries I: Ex-7-i-8210413200305.pdf

3 páginas