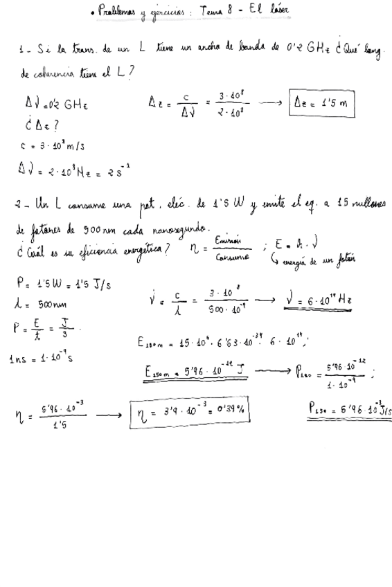
Problemas-y-Ejercicios-El-Laser.pdf

Last21

Relaciones de ejercicios resueltos.

10 archivos·

Relaciones de ejercicios propuestos por las profesoras. Corregidos en clase y en tutoría. Este curso no dan clase, pero sirven igualmente de cara al examen.

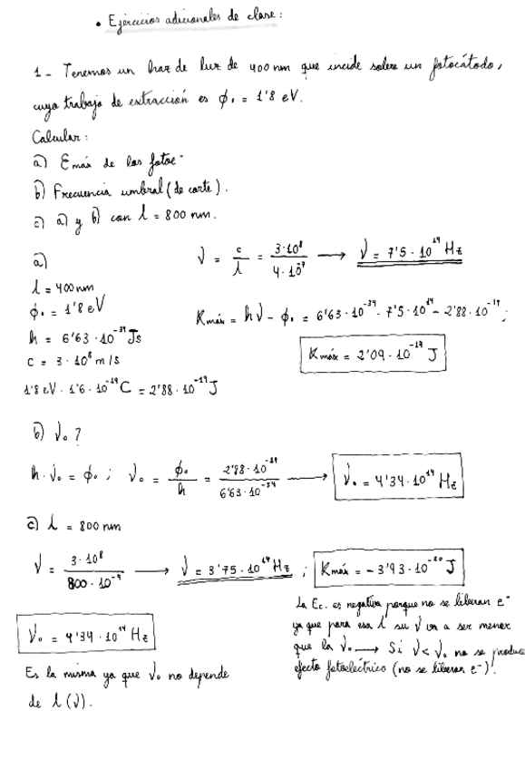
Ejercicios-extra-Difraccion.pdf

6 páginas

Ejercicios-Interaccion-Luz-Materia.pdf

4 páginas

Ejercicios-Luz-Materia.pdf

4 páginas

Ejercicios-y-Problemas-Difraccion-I.pdf

9 páginas

Ejercicios-y-Problemas-Difraccion-II.pdf

4 páginas

Ejercicios-y-Problemas-Difraccion-III.pdf

10 páginas

Ejercicios-y-Problemas-Luz-y-Materia.pdf

4 páginas

Relacion-Adicional.pdf

4 páginas

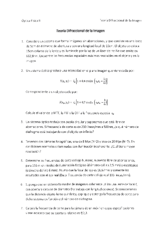
Teoria-difraccional-de-la-imagen.pdf

5 páginas

Problemas-y-Ejercicios-El-Laser.pdf

1 página

content_copy

Archivos recomendados