PDT Cardiovascular, Respiratorio y Nervioso

chevron_left
chevron_right
Todo
Apuntes
Exámenes
Test
chevron_left
chevron_right

examenes

-

PDT 3º

He publicado nuevos examenes de 3º PDT Cardiovascular, Respiratorio y Nervioso : PDT 3º

P1.-Gasometrias.pdf
P4.-Casos-clinicos.pdf
EXAMEN-FINAL-pdt-3o.pdf
Examen-parcial-PDT-3o.pdf
PARCIAL-2019-PDT-3o.pdf
Examen-PDT-3o-final.pdf

apuntes

-

PDT 3º

He publicado nuevos apuntes de 3º PDT Cardiovascular, Respiratorio y Nervioso : PDT 3º

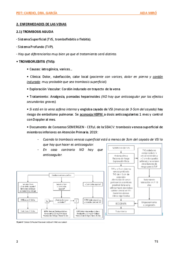
PDT-enf-venosas.pdf
PDT.-Dolor-toracico.pdf
PDT.-Neuroradiologia.pdf
Resumen-PDT-3o.pdf
PDT-Aneurismas.pdf

apuntes

-

cirugía torácica

He publicado nuevos apuntes de 3º PDT Cardiovascular, Respiratorio y Nervioso : cirugía torácica

Tema-1-caja-toracica.pdf
TEMA-2.pdf
TEMA-3.pdf
tema-4.pdf
TEMA-5-TORACICA.pdf
TEMA-6-TORACICA.pdf

apuntes

-

rayoos

He publicado nuevos apuntes de 3º PDT Cardiovascular, Respiratorio y Nervioso : rayoos

TEMA-1.pdf
Tema-2.pdf
TEMA-3-RX-TODO.pdf
TEMA-4-Radiologia-corazon-y-grandes-vasos.pdf
tema-5-3.pdf

apuntes

-

Plástica

He publicado nuevos apuntes de 3º PDT Cardiovascular, Respiratorio y Nervioso : Plástica

TEMA-1.pdf
TEMA-2.pdf
TEMA-3.pdf
TEMA-4.pdf
TEMA-5.pdf
TEMA-6.pdf

apuntes

-

Neurocirugía

He publicado nuevos apuntes de 3º PDT Cardiovascular, Respiratorio y Nervioso : Neurocirugía

Tema-1.pdf
Tema-2.pdf
Tema-3.pdf
Tema-4.pdf
TEMA-5-TCE.pdf
Tema-6-abceso-empiema.pdf

apuntes

-

cirugia general

He publicado nuevos apuntes de 3º PDT Cardiovascular, Respiratorio y Nervioso : cirugia general

TEMA-1-pdt-cirurgia-general.pdf
Tema-2-conceptos-basicos-de-cirurgia.pdf
tema-3-complicaciones-postquirugicas.pdf

apuntes

-

Cardio

He publicado nuevos apuntes de 3º PDT Cardiovascular, Respiratorio y Nervioso : Cardio

extra.pdf
tema-1.pdf
tema-2.pdf
tema-3.pdf
tema-4.pdf
TEMA-5.pdf

apuntes

-

Anestesia

He publicado nuevos apuntes de 3º PDT Cardiovascular, Respiratorio y Nervioso : Anestesia

tema-1-y-tema-2.pdf
Tema-3-anestesia-locorregional.pdf
Tema-4-valoracion-preoperatoria.pdf
Tema-5-via-aerea.pdf
tema-6-farmacos-en-anestesiologia.pdf
Tema-7-monitorizacion.pdf
Anónimo

@Anónimo

He publicado nuevos examenes de 3º PDT Cardiovascular, Respiratorio y Nervioso : PARCIAL-PDT-RAYOS-2025.pdf

2 páginas
Anónimo

@Anónimo

He publicado nuevos examenes de 3º PDT Cardiovascular, Respiratorio y Nervioso : FINAL-PDT-2025.pdf

18 páginas
Anónimo

@Anónimo

He publicado nuevos examenes de 3º PDT Cardiovascular, Respiratorio y Nervioso : PARCIAL-PDT-PLASTICA-2025.pdf

1 página
Anónimo

@Anónimo

He publicado nuevos examenes de 3º PDT Cardiovascular, Respiratorio y Nervioso : PARCIAL-PDT-NEUROCIRUGÍA-2025.pdf

1 página
Anónimo

@Anónimo

He publicado nuevos examenes de 3º PDT Cardiovascular, Respiratorio y Nervioso : PARCIAL-PDT-PAQUI-2025.pdf

4 páginas

He publicado nuevos examenes de 3º PDT Cardiovascular, Respiratorio y Nervioso : final-2018.pdf

22 páginas

He publicado nuevos examenes de 3º PDT Cardiovascular, Respiratorio y Nervioso : PARCIAL-PDT-2023.pdf

8 páginas

He publicado nuevos apuntes de 3º PDT Cardiovascular, Respiratorio y Nervioso : PARCIAL-2020.pdf

4 páginas

He publicado nuevos apuntes de 3º PDT Cardiovascular, Respiratorio y Nervioso : Recopilacion-todos-los-examenes-PDT-2-1.pdf

12 páginas
Anónimo

@Anónimo

Preguntas MUY LARGAS de Paki (puede que algo similar salga en el examen)

2 páginas
Anónimo

@Anónimo

Con respuestas. Las amarillas están comprobadas 100%

3 páginas
Anónimo

@Anónimo

He publicado nuevos apuntes de 3º PDT Cardiovascular, Respiratorio y Nervioso : T8-Muerte-encefalica.pdf

3 páginas
Anónimo

@Anónimo

He publicado nuevos apuntes de 3º PDT Cardiovascular, Respiratorio y Nervioso : T4-HCA-pseudotumor-cerebri.pdf

6 páginas
Anónimo

@Anónimo

He publicado nuevos apuntes de 3º PDT Cardiovascular, Respiratorio y Nervioso : T9-Dolor-postoperatorio.pdf

4 páginas
Anónimo

@Anónimo

He publicado nuevos apuntes de 3º PDT Cardiovascular, Respiratorio y Nervioso : T5-Via-aerea.pdf

17 páginas
Anónimo

@Anónimo

He publicado nuevos apuntes de 3º PDT Cardiovascular, Respiratorio y Nervioso : T2-Anestesia-general.pdf

12 páginas
Anónimo

@Anónimo

He publicado nuevos apuntes de 3º PDT Cardiovascular, Respiratorio y Nervioso : EXAMEN-PARCIAL-PDT-ABRIL-2021.pdf

6 páginas
Anónimo

@Anónimo

He publicado nuevos apuntes de 3º PDT Cardiovascular, Respiratorio y Nervioso : T5-Diagnostico-radiologico-del-Covid19.pdf

14 páginas
Anónimo

@Anónimo

He publicado nuevos apuntes de 3º PDT Cardiovascular, Respiratorio y Nervioso : T1-Tecnicas-de-imagen-toracica.pdf

21 páginas
Anónimo

@Anónimo

He publicado nuevos apuntes de 3º PDT Cardiovascular, Respiratorio y Nervioso : T2-Politraumatismos.pdf

24 páginas
Anónimo

@Anónimo

He publicado nuevos apuntes de 3º PDT Cardiovascular, Respiratorio y Nervioso : T6-Patologia-mediastinica.pdf

14 páginas
Anónimo

@Anónimo

He publicado nuevos apuntes de 3º PDT Cardiovascular, Respiratorio y Nervioso : T2-Traumatismos-toracicos.pdf

13 páginas
Anónimo

@Anónimo

He publicado nuevos apuntes de 3º PDT Cardiovascular, Respiratorio y Nervioso : T4-SIRS.pdf

9 páginas
Anónimo

@Anónimo

He publicado nuevos apuntes de 3º PDT Cardiovascular, Respiratorio y Nervioso : 6-Cirugia-valvular.pdf

13 páginas
Anónimo

@Anónimo

He publicado nuevos apuntes de 3º PDT Cardiovascular, Respiratorio y Nervioso : 5-Enfermedades-de-las-venas-y-sistema-linfatico.pdf

16 páginas

examenes

-

EXAMENES

He publicado nuevos examenes de 3º PDT Cardiovascular, Respiratorio y Nervioso : EXAMENES

Examen-PDT-final.docx
Examen-PDT-parcial.docx
EXAMEN-FINAN-PDT-27-preguntas.docx
PDT-parcial-2015.docx
¡Estás al día!

¡Estás al día!

Has visto todos los archivos