mjsanchezg30
Ejercicios resueltos de Probabilidad I
Ejercicios Tema 1: Probabilidad.pdf
29 páginas
Ejercicios Tema 2: Variables aleatorias unidimensionales.pdf
14 páginas
Ejercicios Tema 3: Variables aleatorias multidimensionales.pdf
18 páginas
Ejercicios Tema 4: Parámetros asociados a una distribución de probabilidad multidimensional.pdf
24 páginas
Ejercicios Tema 5: Transformaciones de variables aleatorias.pdf
30 páginas
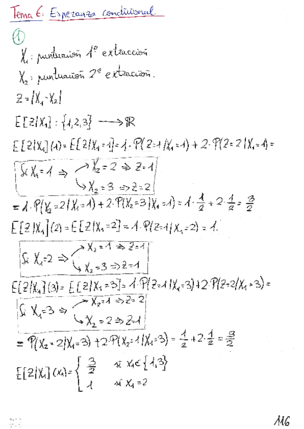
Ejercicios Tema 6: Esperanza condicional.pdf
24 páginas