Probabilidad I

chevron_left
chevron_right
Todo
Apuntes
Ejercicios
Exámenes
chevron_left
chevron_right

He publicado nuevos apuntes de 2º Probabilidad I: Como-realizar-ejercicios-examen-temas-3-6.pdf

2 páginas

He publicado nuevos apuntes de 2º Probabilidad I: teoria-examen.pdf

8 páginas

He publicado nuevos examenes de 2º Probabilidad I: Examen-enero-2026.pdf

1 página

He publicado nuevos examenes de 2º Probabilidad I: Junio-25-2.jpeg

Imagen

He publicado nuevos examenes de 2º Probabilidad I: Junio-25.jpeg

Imagen

He publicado nuevos examenes de 2º Probabilidad I: Enero-25.jpeg

Imagen

apuntes

-

teoría probabilidad I

He publicado nuevos apuntes de 2º Probabilidad I: teoría probabilidad I

tema1.pdf
tema2.pdf
tema3.pdf
tema4.pdf
tema5.pdf
tema6.pdf

He publicado nuevos examenes de 2º Probabilidad I: 2024primerparcialresuelto.pdf

7 páginas

ejercicios

-

Problemas

He publicado nuevos ejercicios de 2º Probabilidad I: Problemas

Problemas-t23.pdf
Problemas-t1.pdf

apuntes

-

Teoría

He publicado nuevos apuntes de 2º Probabilidad I: Teoría

Teoria-t2.pdf
Teoria-t4.pdf
Teoria-t5-2024-09-30-064457.pdf
Teoria-t3.pdf
Teoria-t1.pdf
Teoria-t6.pdf

He publicado nuevos examenes de 2º Probabilidad I: examen-enero.pdf

1 página

apuntes

-

RESÚMENES TEORÍA

En esta carpeta encontraréis resúmenes de todos los temas de la asignatura de Probabilidad I.

APUNTES-PROBABILIDAD-I-TEMA-6-ESPERANZA-CONDICIONAL.pdf
APUNTES-PROBABILIDAD-I-TEMA-5-FUNCIONES-DE-VARIABLES-Y-VECTORES-ALEATORIOS.pdf
APUNTES-PROBABILIDAD-I-TEMA-0-ANALISIS-COMBINATORIO.pdf
APUNTES-PROBABILIDAD-I-TEMA-4-PARAMETROS-ASOCIADOS-A-UNA-DISTRIBUCION-DE-PROBABILIDAD-MULTIDIMENSIONAL.pdf
APUNTES-PROBABILIDAD-I-TEMA-3-VARIABLES-ALEATORIAS-MULTIDIMENSIONALES.pdf
APUNTES-PROBABILIDAD-I-TEMA-2-VARIABLES-ALEATORIAS-UNIDIMENSIONALES.pdf

examenes

-

MODELO EXAMEN

En esta carpeta encontraréis algunos modelos de examen de la asignatura Probabilidad I.

EXAMEN-FINAL-ENERO-2023-PROBABILIDAD-I.pdf
EXAMEN-PARCIAL-NOVIEMBRE-2023-PROBABILIDAD-I.pdf
EXAMEN-FINAL-JULIO-2023-PROBABILIDAD-I.pdf

ejercicios

-

Ejercicios resueltos de Probabilidad I

He publicado nuevos ejercicios de 2º Probabilidad I: Ejercicios resueltos de Probabilidad I

Ejercicios Tema 1: Probabilidad.pdf
Ejercicios Tema 2: Variables aleatorias unidimensionales.pdf
Ejercicios Tema 3: Variables aleatorias multidimensionales.pdf
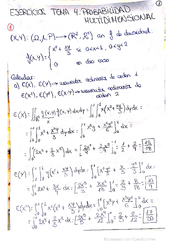
Ejercicios Tema 4: Parámetros asociados a una distribución de probabilidad multidimensional.pdf
Ejercicios Tema 5: Transformaciones de variables aleatorias.pdf
Ejercicios Tema 6: Esperanza condicional.pdf

apuntes

-

Apuntes de Probabilidad I

He publicado nuevos apuntes de 2º Probabilidad I: Apuntes de Probabilidad I

Apuntes Tema 1: Probabilidad.pdf
Apuntes Tema 2: Variables aleatorias unidimensionales.pdf
Apuntes Tema 3: Variables aleatorias multidimensionales.pdf
Apuntes Tema 4: Parámetros asociados a una distribución de probabilidad multidimensional.pdf
Apuntes Tema 5: Funciones de variables y vectores aleatorios.pdf
Apuntes Tema 6: Esperanza condicional.pdf

examenes

-

Exámenes

He publicado nuevos examenes de 2º Probabilidad I: Exámenes

2017enero.pdf
2015parcialprobabI.pdf
2020primerparcialprobabilidadI.pdf
Anónimo

@Anónimo

apuntes

-

Exámenes resueltos

He publicado nuevos apuntes de 2º Probabilidad I: Exámenes resueltos

Examen-parcial-2021.pdf
Examen-parcial-2018.pdf
Examen-final-2021.pdf

apuntes

-

Apuntes de la asignatura

He publicado nuevos apuntes de 2º Probabilidad I: Apuntes de la asignatura

Tema-1220122102630.pdf
Tema-6220117133512.pdf
Tema-5220108183421.pdf
Tema-3211109170137.pdf
analisiscombinatorio210909102204.pdf
Tema-4220122130510.pdf

apuntes

-

Ejercicios Tema 6

He publicado nuevos apuntes de 2º Probabilidad I: Ejercicios Tema 6

ejercicios-T6220117134925.pdf
problemastema6211221092545.pdf

apuntes

-

Ejercicios Tema 5

He publicado nuevos apuntes de 2º Probabilidad I: Ejercicios Tema 5

Problemastema5211205132117.pdf
ejercicios-T5220117113804.pdf

apuntes

-

Ejercicios Tema 4

He publicado nuevos apuntes de 2º Probabilidad I: Ejercicios Tema 4

ejercicios-T4220208214513.pdf
problemasprobabilidadI211122102356.pdf

apuntes

-

Ejercicios Tema 3

He publicado nuevos apuntes de 2º Probabilidad I: Ejercicios Tema 3

Ejercicios-Tema-3220123185543.pdf
ProblemasTema3220123190018.pdf

apuntes

-

Ejercicios Tema 2

He publicado nuevos apuntes de 2º Probabilidad I: Ejercicios Tema 2

problemastema2211109093820.pdf
Ejercicios-Tema-2211112110525.pdf
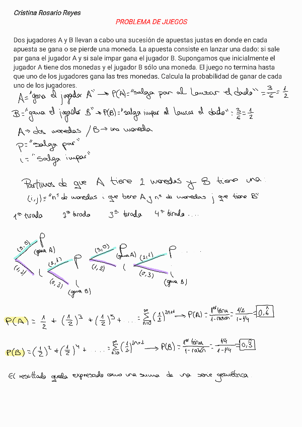
Problema-de-juegos211013102603.pdf

apuntes

-

Ejercicios Tema 1

He publicado nuevos apuntes de 2º Probabilidad I: Ejercicios Tema 1

problemastema1211110182120.pdf
problemasanalisiscombinatorio210919111321.pdf
Ejercicios-Tema-1211110164832.pdf
combinatoria211111172124.pdf
¡Estás al día!

¡Estás al día!

Has visto todos los archivos