chevron_left
chevron_right
Todo
Apuntes
Ejercicios
chevron_left
chevron_right

apuntes

-

Resúmenes/formularios

Conjunto de formularios y resúmenes

TEMA-1-Resumenes-Mega-formulario.pdf
TEMA-2-Resumenes-Mega-formulario.pdf
Tema3Resumenes-Megaformulario.pdf
Tema4Resumenes-Megaformulario.pdf
Tema5Resumenes-Megaformulario.pdf
Anónimo

@Anónimo

apuntes

-

RESUMEN Y FORMULAS

He publicado nuevos apuntes de 2º Probabilidad y Estadística: RESUMEN Y FORMULAS

Resumen-de-analisis-descriptivo.pdf
probabilidad-y-distribuciones.pdf
Formulas-de-probabilidad.pdf
distribuciones-discretas.pdf
Resumen-intervalos-de-confianza.pdf
Anónimo

@Anónimo

He publicado nuevos ejercicios de 2º Probabilidad y Estadística: EJER-Analisis-descriptivo-RESUELTOS.pdf

3 páginas
Anónimo

@Anónimo

ejercicios

-

EJER INFERENCIA ESTADISTICA

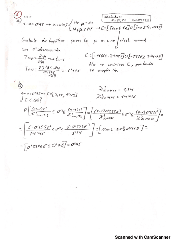
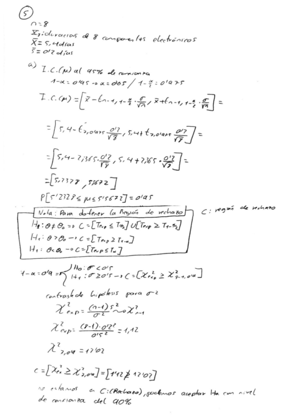
He publicado nuevos ejercicios de 2º Probabilidad y Estadística: EJER INFERENCIA ESTADISTICA

EJER-INFERENCIA-ESTADISTICA-E5.pdf
EJER-INFERENCIA-ESTADISTICA-E2-y-E3.pdf
Ejer-Inferencia-Estadistica-E7.pdf
EJER-INFERENCIA-ESTADISTICA-E4.pdf
Ejer-Inferencia-Estadistica-E1.pdf
EJER-INFERENCIA-ESTADISTICA-E6.pdf
¡Estás al día!

¡Estás al día!

Has visto todos los archivos