Anónimo
Portada
Asignatura
Grado en Ingeniería de Sistemas de Telecomunicación (UPC)
Probabilitat i Estadistica
Fecha de subida
12 jun 2019
Categoría
apuntes
Etiquetas
Ejercicios - PiE-Tema-2-Problemas.pdf
pdf
12 páginas
33
1
Ejercicios - PiE - Tema 1. Problemas.pdf
25 páginas
36
Ejercicios - ad123092022solucio.pdf
2 páginas
10
0
Exámenes - control114102021solucioA.pdf
3 páginas
21
Ejercicios - PIE-Tema-4.-Problemas-parte2.pdf
23 páginas
32
Ejercicios - PIE-Tema-5.-Problemas.pdf
9 páginas
28
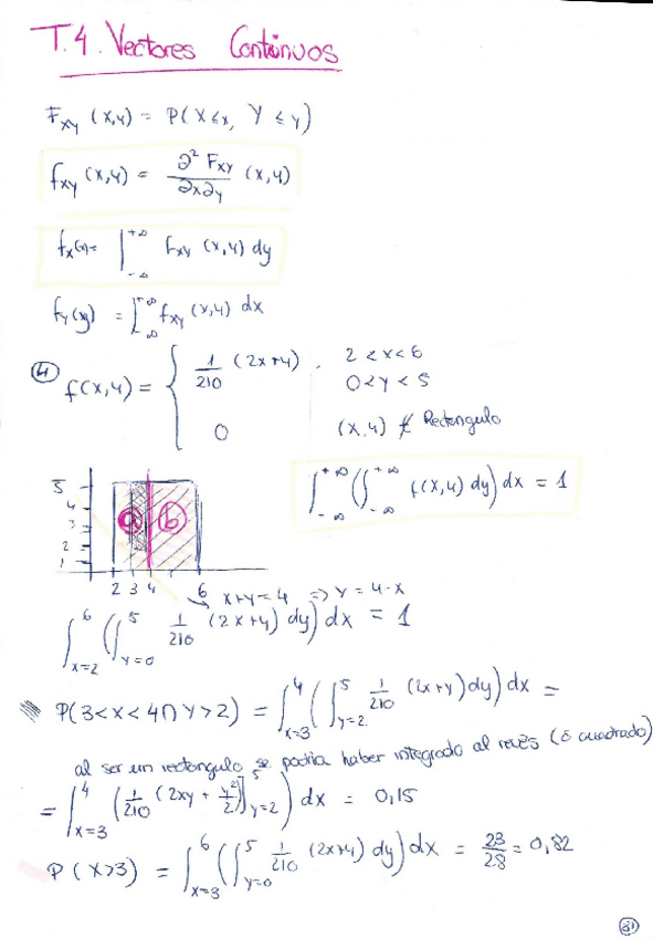
Apuntes - PIE-Tema-4.pdf
18 páginas
26
Apuntes - Tema1-ejercicios.pdf
27
Ejercicios - PIE-Tema-6.-Problemas.pdf
8 páginas
Apuntes - PIE-Tema-3.pdf
19 páginas
13
Ejercicios - ad3.pdf
4 páginas
Ejercicios - ad425112022solucio.pdf
Apuntes - PIE - Tema 2.pdf
14 páginas
12
Apuntes - PIE-Tema-5.pdf
0 páginas
23
Ejercicios - ad305042022solucio-1.pdf
7
Ejercicios - ad215032022solucio.pdf
4
Ejercicios - ad129092020solucio.pdf
6
Apuntes - PIE-Tema-6.pdf
14
Apuntes - PiE - Tema 1.pdf
13 páginas
20
Apuntes - PIE - Resum T2.pdf
15