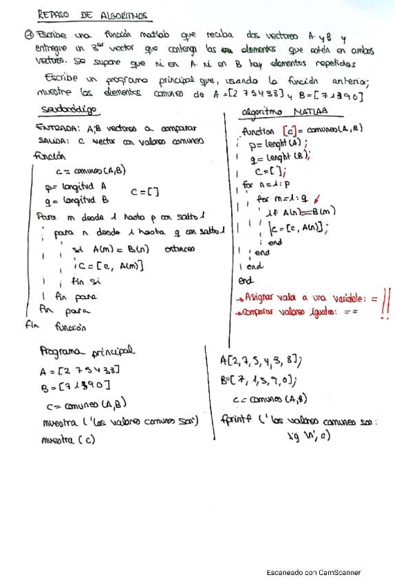
mariah13
Algoritmos resueltos
2.pdf
1 página
6.pdf
9.pdf
3.pdf
5.pdf
4.pdf
8.pdf
1.pdf
7.pdf
13.pdf
18.pdf
14.pdf
12.pdf
16.pdf
17.pdf
15.pdf
11.pdf
10.pdf
Apuntes - Tipo-Test-3.pdf
pdf
0 páginas
217
3
Apuntes - Tipo-test-1.pdf
230
Apuntes - Tipo-test-2.pdf
201
4
Exámenes - Relacion-Tipo-Test.pdf
7 páginas
126
Exámenes - Preguntas-tipo-test-examen-PC-23-24.pdf
87
0
Exámenes - Sign in - Google Accounts
link
21
Apuntes - t1-al-7-de-programacion-cientifica.pdf
20 páginas
40
Apuntes - Programacion-Centifica-Temario-Completo.pdf
39 páginas
29
Apuntes - Resumen-algoritmos-PC.pdf
5 páginas
47
Apuntes - Resumen-T7.pdf
2 páginas
49
Exámenes - PARCIAL-MATLAB-24-25.pdf
46
Apuntes - Temas-1-y-5-PC20200120125836.pdf
8 páginas
67
Exámenes - Tipo-Test-1-Drive.pdf
Exámenes - Ejemplo-tipo-Test-Drive.pdf
6 páginas
32
Apuntes - Resumen-t6.pdf
45
Apuntes - Apuntes-todo-PC.pdf
37
1
Apuntes - Resumen-completo-temas-1-7.-PC.-24-25.pdf
13 páginas
30
Apuntes - Algoritmos-resueltos-y-practica.pdf
16 páginas
36
Ejercicios - Ejercicios-pseudocodigos.pdf
11 páginas
2
Apuntes - 9.pdf
24