Portada
Asignatura
Grado en Administración y Dirección de Empresas (UMA)
Programación Matemática
Fecha de subida
06 may 2019
Categoría
examenes
Información
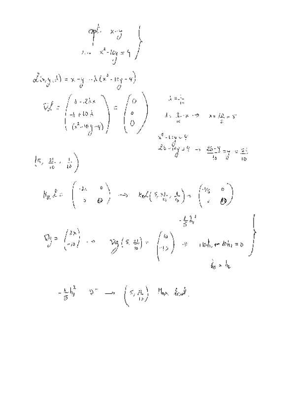
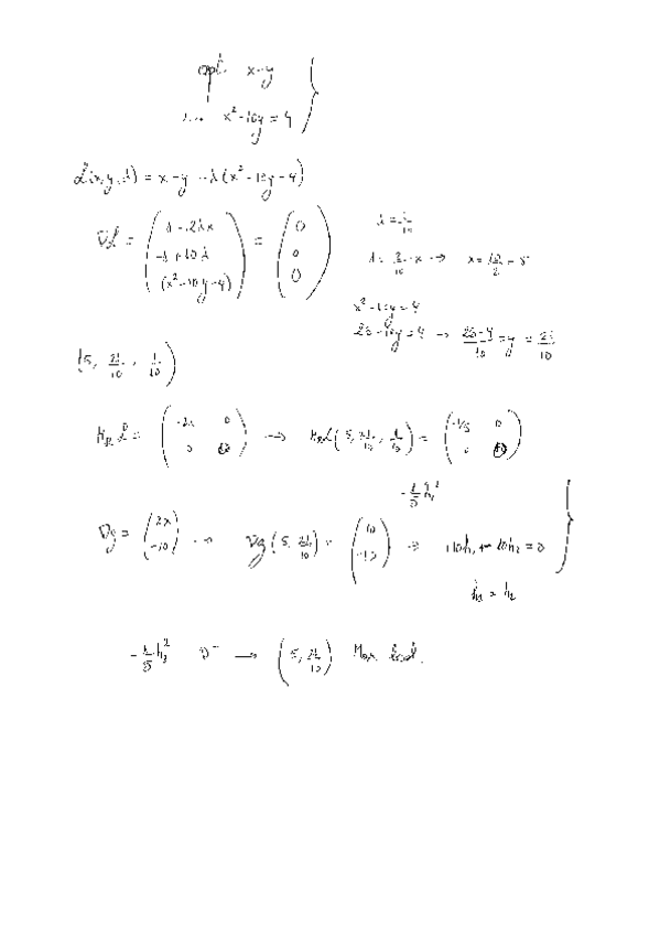
Examen parcial RESUELTO de los temas 1 y 2, del turno de mañana del curso 2018/2019
Etiquetas
Apuntes - Programación Matemática.rar
rar
30
0
Apuntes - Solucion-examen-temas-1-y-2-Grupo-A1.pdf
pdf
6 páginas
228
Apuntes - Examen_junio.pdf
4 páginas
152
Apuntes - Solucion-examen-temas-1-y-2-Grupo-A2.pdf
5 páginas
154
1
Exámenes - Examen-Resuelto-Temas-1-y-2-Abril-2023-Programacion.pdf
147
6
Apuntes - Examen-final-junio-bloque-2-2021-1oA.pdf
158
2
Exámenes - Examen-Resuelto-Junio-2022-Programacion.pdf
153
4
Apuntes - Programacion-Matematicas-Tema-1.pdf
22 páginas
105
5
Apuntes - Examen-final-junio-bloque-1-2021-1oA.pdf
157
Exámenes - Solucion-examen-temas-1-y-2-Grupo-A1.pdf
123
Apuntes - Solución Prueba 1 A.pdf
99
Exámenes - examen-final-bloque-1-tipo-A.pdf
102
3
Apuntes - Apuntes tema 1.docx
docx
7
Apuntes - Solucion-examen-temas-3-y-4-Grupo-A1.pdf
7 páginas
134
Exámenes - Exámen Parcial.pdf
2 páginas
125
Apuntes - Tema-2-Programacion-Matematica.pdf
30 páginas
72
Exámenes - 110419B.pdf
103
Exámenes - examen-final-bloque-1-tipo-B.pdf
78
Apuntes - Resumen-TEMA-1-Programacion-Matematica.pdf
8 páginas
122
Apuntes - Solución Prueba 1 B.pdf
74
Información
Examen parcial RESUELTO de los temas 1 y 2, del turno de mañana del curso 2018/2019