Portada
Asignatura
ESO
Proyecto Interdisciplinar
Fecha de subida
21 abr 2023
Categoría
examenes
Etiquetas
Apuntes - Series-i-peliculas.pptx
pptx
0
Apuntes - inequaciones-2ndo-grado-1.pdf
pdf
1 página
Apuntes - problemas-de-inequaciones.pdf
Apuntes - radicales.pdf
4
Apuntes - operaciones-con-radicales.pdf
2
Apuntes - extraccion-de-factores-de-un-radical.pdf
Apuntes - multiplicacion-y-division-de-radicales.pdf
Apuntes - racionalizacion.pdf
Apuntes - polinomios.pdf
3
Apuntes - factorizacion-de-polinomios.pdf
Apuntes - Los-monosilabas-y-la-tilde-diacritica.docx
docx
Apuntes - Proyecto-interdisciplinar.pdf
7 páginas
Apuntes - 02.-Minimos-1o-ESO-creatividad-y-expresion-corporal-2022-1.pdf
3 páginas
Apuntes - GUIA-DE-OPTATIVAS.pdf
11 páginas
Apuntes - PROYECTO-INTERDISCIPLINAR-1o-DE-LA-ESO.pdf
2 páginas
Apuntes - proyectosdidacticosdelfin.pdf
62 páginas
Apuntes - tfm2016-17MFPRlda6051060.pdf
80 páginas
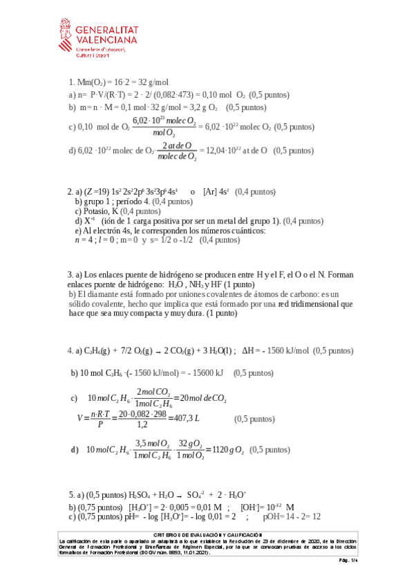
Exámenes - ACFGSQUIMICAcastellanosolucionario.pdf
Apuntes - 08.-Pan-arabe-para-Doner-kebap-Autor-Oliver-Welling.pdf
Apuntes - 11.-Recetas-de-turquia-Autor-El-Pajaro-Rojo.pdf