amsat
Examen LABORATORIO CORREGIDO 2019
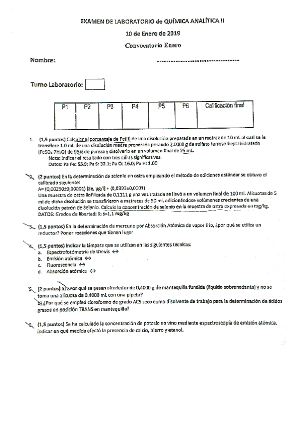
10 de Enero de 2019
Examen-laboratorio-Analitica-II-2019.pdf
1 página
correccion-examen-lab-2019.pdf
2 páginas
Exámenes - Examen-laboratorio-Analitica-II-2019.pdf
pdf
770
7
Exámenes - correccion-examen-lab-2019.pdf
680
4
Ejercicios - Ejercicios.pdf
5 páginas
343
0
Exámenes - examen-laboratorio-recuperacion-julio-2019-analitica-II.pdf
474
1
Exámenes - examen-enero-tipo-test-2019.pdf
387
Ejercicios - ejercicios-resueltos-tema-2-quimio.pdf
24 páginas
481
Exámenes - QUIMICA-ANALITICA-II-examen-enero-2019.pdf
3 páginas
391
Exámenes - EXAMEN FINAL QAII 9 Febrero 2018.docx
docx
Ejercicios - Problemas-Tema-2-QA-II.pdf
29 páginas
336
Ejercicios - PROBLEMAS-TEMA-2.pdf
12 páginas
440
2
Ejercicios - Ejercicios 1.pdf
4 páginas
210
Exámenes - Examen-Enero-2019-.pdf
366
8
Exámenes - Examen febrero 2016.pdf
7 páginas
183
Exámenes - Test resuelto curso 2016-2017.pdf
249
Test - CUESTIONES QUÍMICA ANALÍTICA III SG B1 (con soluciones).pdf
0 páginas
167
Apuntes - TEMA 4.docx
26
Exámenes - Examen-Julio-2019-.pdf
321
3
Exámenes - Examen-lab-analitica-II-2014.pdf
395
Exámenes - Examen-2015-.pdf
308
5
Exámenes - Examen junio 2017.pdf
156