complejos-2-.jpg
Portada
Asignatura
account_balance
Grado en Ciencias del Mar (UA)
Fecha de subida
15 dic 2021
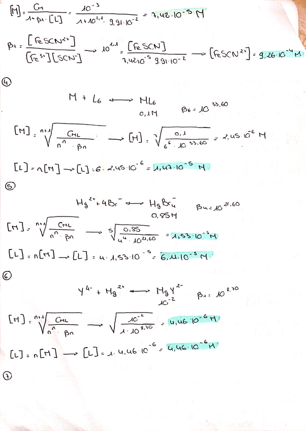
Categoría
ejercicios
Etiquetas
content_copy
Portada
Asignatura
Grado en Ciencias del Mar (UA)
Fecha de subida
15 dic 2021
Categoría
ejercicios
Etiquetas