mariacn36
Informe-Practica-2.pdf
17 páginas
Ejercicios - ejercicios-tema-2.pdf
pdf
6 páginas
82
0
Ejercicios - problemas-resueltos-acido-base.pdf
22 páginas
67
Ejercicios - EjerciciosRedox.pdf
10 páginas
56
Ejercicios - EjerciciosPrecipitacion.pdf
7 páginas
54
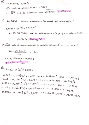
Ejercicios - Analisis-instrumental-1.jpg
jpg
46
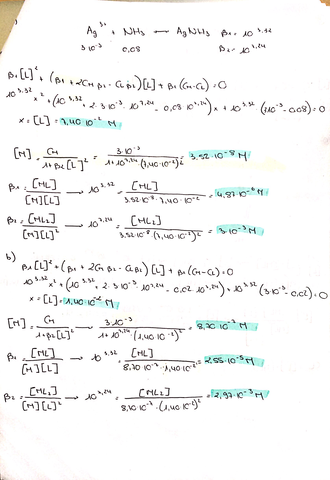
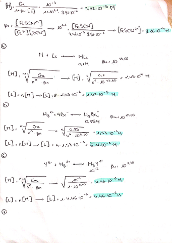
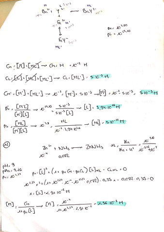
Ejercicios - complejos-3.jpg
47
Ejercicios - Analisis-instrumental-2.jpg
42
Ejercicios - complejos-4.jpg
43
Ejercicios - Comlepjos-1.jpg
41
Ejercicios - complejos-5.jpg
Ejercicios - complejos-2-.jpg
37
Apuntes - examen-enero-2022.pdf
4 páginas
28
Ejercicios - complejos-6.jpg
38
Ejercicios - precipitados-2.jpg
Ejercicios - redox-4.jpg
30
Ejercicios - hoja-problemas-acido-base.doc
doc
26
Apuntes - ApuntesAcidoBase.pdf
9 páginas
27
Ejercicios - EJERCICIOS-RESUELTOS-QUIMIOMETRIA-T2.pdf
Apuntes - ejercicios-acidobase.pdf
12 páginas
36
Ejercicios - precipitados-4.jpg
29