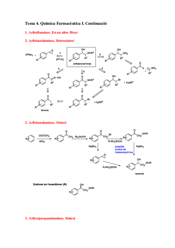
Anónimo
Tema-4-Ariletanolam-ariloxi-AINES-resum-PUJOL.pdf
5 páginas
Apuntes - Q. Farma academia.pdf
pdf
109 páginas
402
6
Apuntes - Quimica farmacèutica 1 (part 1).pdf
78 páginas
310
5
Apuntes - QF1. Tema 2 (curs 2018-2019).pdf
14 páginas
314
4
Apuntes - Apunts-Quimica-Farmaceutica-Tema-2.pdf
15 páginas
252
1
Apuntes - QF1.-Academia.-Teoria-families.pdf
31 páginas
271
Apuntes - QF1.-Academia.-Teoria.pdf
27 páginas
265
Apuntes - dossier-intensiu-teoria-complets.pdf
64 páginas
319
7
Apuntes - QF1. Tema 4 (curs 2018-2019).pdf
10 páginas
226
2
Exámenes - Primer_control_2016_17_Solucions.pdf
4 páginas
241
Apuntes - QF1. Tema 5 (curs 2018-2019).pdf
20 páginas
217
Apuntes - q. farma apunts esquematics.pdf
74 páginas
145
0
Apuntes - QF1.-Tema-1-curs-2018-2019.pdf
11 páginas
Apuntes - Apunts-Quimica-Farmaceutica-I-Tema-1.pdf
6 páginas
Apuntes - Apunts-Quimica-Farmaceutica-Tema-3.pdf
191
Apuntes - Quimica farmacèutica 1 (part 2).pdf
79 páginas
157
Exámenes - Examens-quimica-farmaceutica-I.pdf
43
Exámenes - Solución Examen JUNIO 2017_QF 1.pdf
155
Exámenes - Control 1 cast A (Abril 2015) Soluciones.pdf
3 páginas
147
Ejercicios - problemas-sintesi-de-farmacos-resueltos.pdf
215
Apuntes - TEORIA-RESUMIDA--EXERCICIS-PRIMER-PARCIAL-QUIMICA-FARMACEUTICA.pdf
60 páginas
82
10