ingquiuma
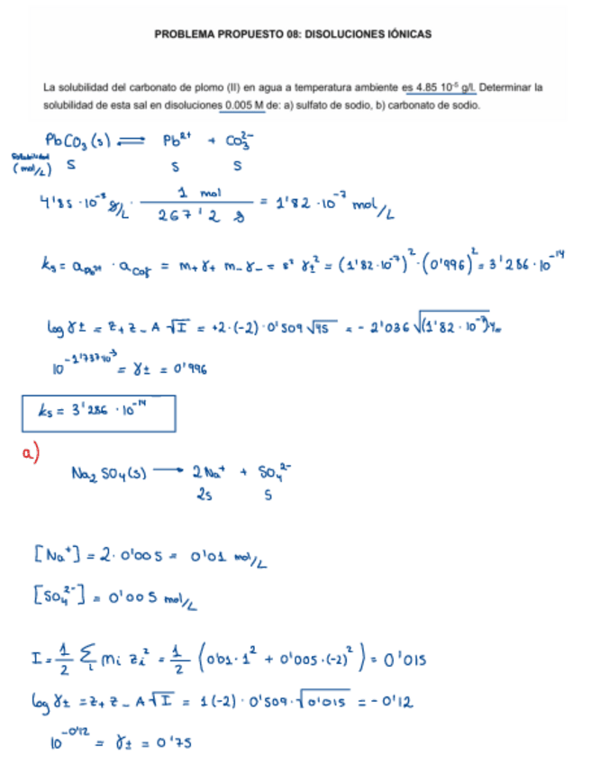
Propuesto08.pdf
2 páginas
Apuntes - informes de practicas 1.docx
docx
114
0
Apuntes - Quimica-Fisica.pdf
pdf
7 páginas
214
Apuntes - Practicas-Quimica-Fisica-.pdf
17 páginas
199
4
35 páginas
108
Apuntes - Volumetria acido base.docx
28
Prácticas - Practicas-Quifi-completas-perfectas.pdf
38 páginas
74
Apuntes - 00Quifi-Examenes-Resueltos.pdf
13 páginas
110
1
Ejercicios - Problemas de cinética formal.pdf
4 páginas
87
Apuntes - tema-1-y-2-quimica-fisica-.pdf
25 páginas
118
Apuntes - VELOCIDAD DE UNA REACCIÓN QUIMICA.docx
25
Apuntes - tema-1-Quifi.pdf
117
Apuntes - memorias-de-practicas-MariaMiraCervera.pdf
30 páginas
98
Apuntes - tema 3.docx
3
Exámenes - Cuestionario-bloque-4.pdf
16 páginas
44
Prácticas - Memorialaboratorio.pdf
37 páginas
43
Apuntes - tema 1.docx
7
Apuntes - Tema-3-Quifi.pdf
8 páginas
66
Ejercicios - N01-Fuerzas-intermolecularesresuelto.pdf
15 páginas
107
Apuntes - tema 4 introduccion a la termodinamica.docx
13
Apuntes - tema2-Quifi.pdf
12 páginas
81