Gamusino73
Problemas de todos los temas QFI I
Problemas-T3-QFI-I.pdf
8 páginas
Problemas-T8-QFI-I.pdf
4 páginas
Problemas-T6-QFI-I.pdf
Problemas-T5-QFI-I.pdf
5 páginas
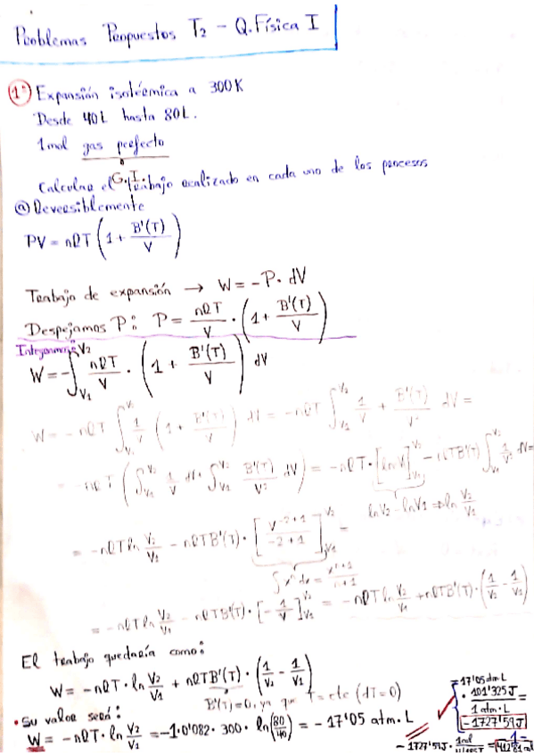
Problemas-T2-QFI-I.pdf
14 páginas
Problemas-T4-QFI-I.pdf
3 páginas
Problemas-T7-QFI-I.pdf
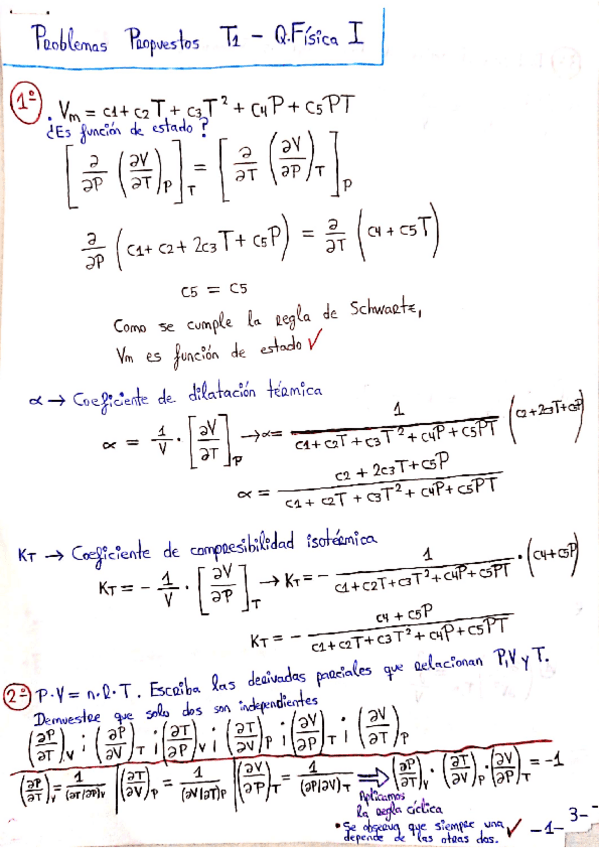
Problemas-T1-QFI-I.pdf
Ejercicios - Todas las hojas de actividades resueltas.pdf
pdf
25 páginas
206
1
Apuntes - Ejercicios resueltos química física I.pdf
29 páginas
170
Exámenes - Examen QF I Febrero 2013 (Convocatoria Especial).pdf
150
Apuntes - Tema 1 Conceptos Fundamenta Y Sistemas Termodinámicos Sencillos .pdf
125
0
Exámenes - Examen QF I Febrero 2014.pdf
2 páginas
113
Apuntes - Tema 3 - 2ª Ley Termodinámica.pdf
79
Apuntes - Tema 2 1ª Ley Termodinámica.pdf
13 páginas
102
Exámenes - Examen QFI Febrero 2015.tif
tif
26
Apuntes - Resumen Tema 5 Quifi I.pdf
12 páginas
Apuntes - Resúmen Tema 4 Quifi I.pdf
74
Apuntes - Resumen Tema 7 Quifi I.pdf
66
Apuntes - Resumen Tema 6 Quifi I.pdf
6 páginas
67
Exámenes - Examen termodinámica.pdf
106
3
101
2
Exámenes - CamScanner-08-02-2020-18.pdf
186
Exámenes - EXAMEN-TIPO-QF-I.pdf
93
4
Exámenes - Recopilacion-test-examen.pdf
7 páginas
60
Apuntes - PROBLEMAS-DIAPOSITIVAS-RESUELTOS-DE-TODOS-LOS-TEMAS.pdf
128
Apuntes - Problemas-T2-QFI-I.pdf
133
Prácticas - PRACTICA-5-QUIMICA-FISICA-1.docx
docx