QuimiksCiu

Orbitales-px-py-y-pz-EJERCICIO-COMPLETO.pdf

Miniatura del documento Orbitales-px-py-y-pz-EJERCICIO-COMPLETO.pdf

Portada

Miniatura del documento Orbitales-px-py-y-pz-EJERCICIO-COMPLETO.pdf

Fecha de subida

16 jun 2025

Categoría

apuntes

Información

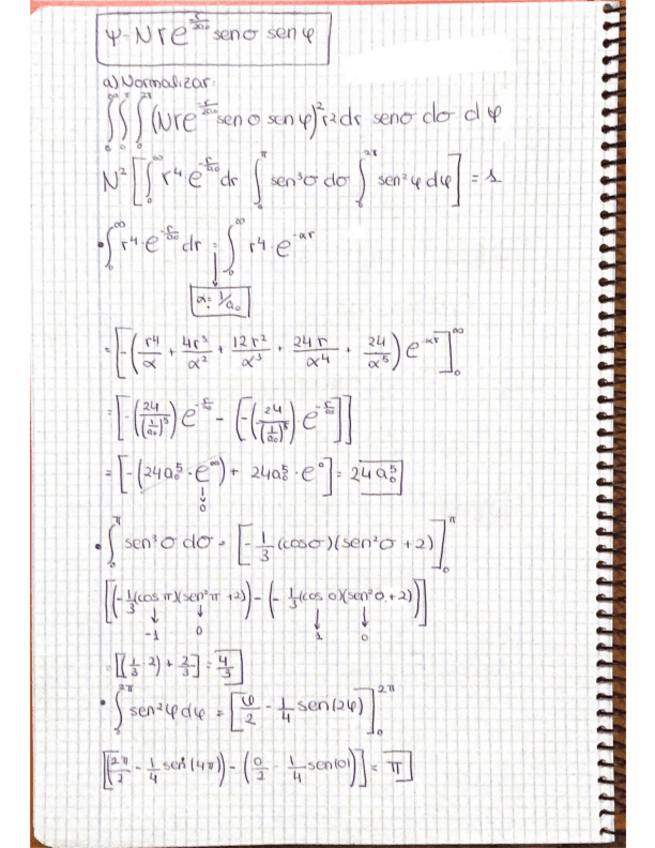
Algunas probabilidades pueden estar mal. Recordad que para calcular la probabilidad desde 0 hasta el radio más probable, no solo que utiliza la parte radial, sino toda la función, por ello algunas pueden estar incompletas al no haber utilizado la función

Etiquetas

category

apuntes

content_copy

Archivos recomendados