Química Física II: Introducción a la Química Cuántica y Espectroscopia

Todo
Apuntes
Ejercicios
Exámenes
chevron_left
chevron_right

Formularios y seminarios resueltos QFII Pilar Porrero

73 páginas

He publicado nuevos ejercicios de 2º Química Física II: Introducción a la Química Cuántica y Espectroscopia: Ejercicio-extra-T4-Quifi-II.pdf

4 páginas

He publicado nuevos ejercicios de 2º Química Física II: Introducción a la Química Cuántica y Espectroscopia: Problemas-T9.pdf

6 páginas

He publicado nuevos ejercicios de 2º Química Física II: Introducción a la Química Cuántica y Espectroscopia: Problemas-T8.pdf

11 páginas

He publicado nuevos ejercicios de 2º Química Física II: Introducción a la Química Cuántica y Espectroscopia: Problemas-T6.pdf

10 páginas

He publicado nuevos ejercicios de 2º Química Física II: Introducción a la Química Cuántica y Espectroscopia: Problemas-T5.pdf

12 páginas

He publicado nuevos apuntes de 2º Química Física II: Introducción a la Química Cuántica y Espectroscopia: PARCIAL-2-QUIFI-II.pdf

53 páginas

He publicado nuevos apuntes de 2º Química Física II: Introducción a la Química Cuántica y Espectroscopia: PARCIAL-1-QUIFI-II.pdf

30 páginas

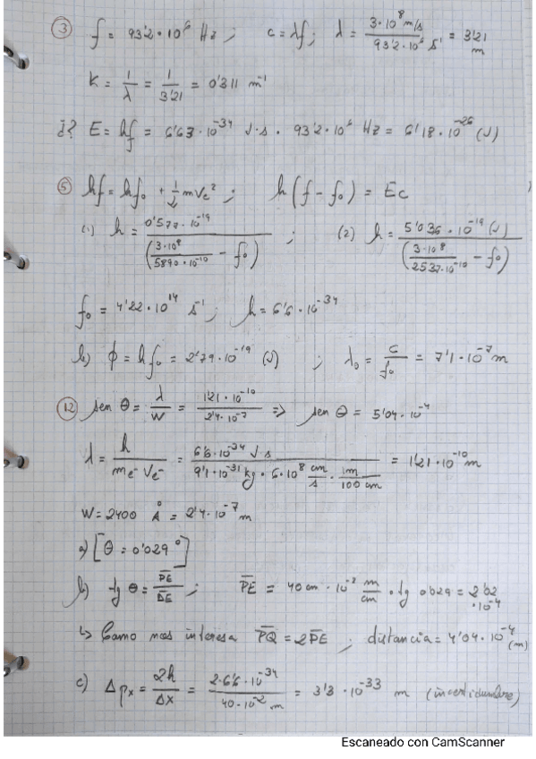
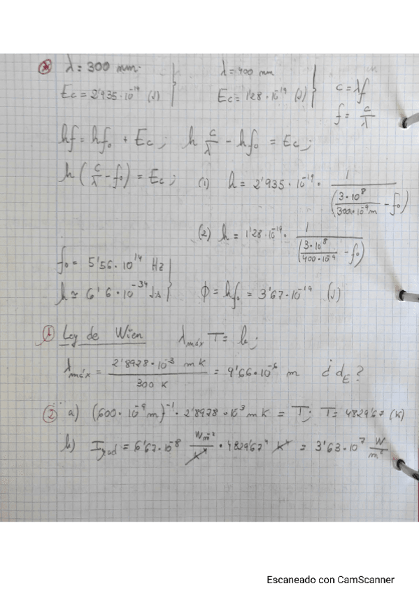
Algunas probabilidades pueden estar mal. Recordad que para calcular la probabilidad desde 0 hasta el radio más probable, no solo que utiliza la parte radial, sino toda la función, por ello algunas pueden estar incompletas al no haber utilizado la función

17 páginas

He publicado nuevos ejercicios de 2º Química Física II: Introducción a la Química Cuántica y Espectroscopia: EJERCICIOS-RESUELTOS-TEMA-6-QUIFI-II.pdf

4 páginas

He publicado nuevos ejercicios de 2º Química Física II: Introducción a la Química Cuántica y Espectroscopia: EJERCICIOS-RESUELTOS-TEMA-5-QUIFI-II.pdf

5 páginas

He publicado nuevos apuntes de 2º Química Física II: Introducción a la Química Cuántica y Espectroscopia: Quifi2-Ord25.05.2020.pdf

2 páginas

Es un archivo con un recopilatorio de los típicos ejercicios de examen.

21 páginas

He publicado nuevos examenes de 2º Química Física II: Introducción a la Química Cuántica y Espectroscopia: QF2-2Parcial-25.05.2020.pdf

10 páginas

He publicado nuevos examenes de 2º Química Física II: Introducción a la Química Cuántica y Espectroscopia: QF2-1Parcial25.05.2020.pdf

5 páginas

apuntes

-

Teoria

He publicado nuevos apuntes de 2º Química Física II: Introducción a la Química Cuántica y Espectroscopia: Teoria

MolecDiato.pdf
AtomoDeHidrogeno.pdf
OrbitalesMoleculares.pdf
RotoVibracional.pdf

He publicado nuevos apuntes de 2º Química Física II: Introducción a la Química Cuántica y Espectroscopia: TEMA-234.pdf

30 páginas

He publicado nuevos apuntes de 2º Química Física II: Introducción a la Química Cuántica y Espectroscopia: TEMA-1.pdf

5 páginas

apuntes

-

Formularios Química-Física II

He publicado nuevos apuntes de 2º Química Física II: Introducción a la Química Cuántica y Espectroscopia: Formularios Química-Física II

Formulario-Tema-2-Elementos-basicos-de-la-mecanica-cuantica.pdf
Formulario-Tema-3-Aplicaciones-de-la-ecuacion-de-Schrodinger-a-sistemas-sencillos-con-movimiento-lineal.pdf
Formulario-Tema-4-Movimiento-en-un-campo-central.-Rotor-rigigo-y-atomo-de-hidrogeno.pdf
Formulario-Tema-5-Atomos-polielectronicos.pdf
Formulario-Tema-8-Espectroscopia-de-rotacion-de-vibracion-y-de-rotovibracion.pdf

He publicado nuevos apuntes de 2º Química Física II: Introducción a la Química Cuántica y Espectroscopia: ESPECTRO-DE-ABOSRCION-UV-P4.pdf

6 páginas

He publicado nuevos apuntes de 2º Química Física II: Introducción a la Química Cuántica y Espectroscopia: ESPECTROSCOPIA-DE-EMISION-ATOMICA-practica2.pdf

7 páginas

He publicado nuevos apuntes de 2º Química Física II: Introducción a la Química Cuántica y Espectroscopia: Practicas-Quifi-1.pdf

24 páginas

He publicado nuevos apuntes de 2º Química Física II: Introducción a la Química Cuántica y Espectroscopia: ESPECTROSCOPIA-DE-ROTACION-3.pdf

9 páginas

He publicado nuevos apuntes de 2º Química Física II: Introducción a la Química Cuántica y Espectroscopia: REPRESENTACION-DE-ORBITALES-ATOMICOS-Y-MOLECULARES-CON-MATLAB.pdf

10 páginas

He publicado nuevos apuntes de 2º Química Física II: Introducción a la Química Cuántica y Espectroscopia: quifi-2-examen-ordinario.pdf

4 páginas

He publicado nuevos apuntes de 2º Química Física II: Introducción a la Química Cuántica y Espectroscopia: extraordinario-quifi-2.pdf

5 páginas

examenes

-

Quifi 1

He publicado nuevos examenes de 2º Química Física II: Introducción a la Química Cuántica y Espectroscopia: Quifi 1

EXAMEN-EXTRAORDINARIO-quifi-1.pdf

He publicado nuevos apuntes de 2º Química Física II: Introducción a la Química Cuántica y Espectroscopia: Apuntes-Tema-9.pdf

1 página

He publicado nuevos apuntes de 2º Química Física II: Introducción a la Química Cuántica y Espectroscopia: Apuntes-y-ejs.pdf

13 páginas

He publicado nuevos apuntes de 2º Química Física II: Introducción a la Química Cuántica y Espectroscopia: Apuntes-y-ejs.pdf

11 páginas

He publicado nuevos apuntes de 2º Química Física II: Introducción a la Química Cuántica y Espectroscopia: Apuntes-y-ejs.pdf

18 páginas

He publicado nuevos apuntes de 2º Química Física II: Introducción a la Química Cuántica y Espectroscopia: Apuntes y ejs. Tema 4

22 páginas

He publicado nuevos apuntes de 2º Química Física II: Introducción a la Química Cuántica y Espectroscopia: Recursos-para-examen.pdf

4 páginas

He publicado nuevos ejercicios de 2º Química Física II: Introducción a la Química Cuántica y Espectroscopia: Seminario-resumen-de-conceptos-1er-parcial.pdf

7 páginas

He publicado nuevos apuntes de 2º Química Física II: Introducción a la Química Cuántica y Espectroscopia: Teoria-y-apuntes-T3-contiene-ejs.pdf

24 páginas

He publicado nuevos apuntes de 2º Química Física II: Introducción a la Química Cuántica y Espectroscopia: Apuntes-T2-con-ejs.pdf

20 páginas

He publicado nuevos apuntes de 2º Química Física II: Introducción a la Química Cuántica y Espectroscopia: Seminario-Tema-1.pdf

5 páginas

He publicado nuevos apuntes de 2º Química Física II: Introducción a la Química Cuántica y Espectroscopia: Tema-1.pdf

11 páginas
¡Estás al día!

¡Estás al día!

Has visto todos los archivos