Fluorocromo
1º Cuatrimestre (academia)
Tema 1. Complementos de Termodinámicos.pdf
49 páginas
Tema 2. Termodinámica Estadística.pdf
34 páginas
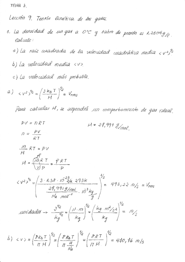
Tema 3. Teoría Cinética y Transporte.pdf
25 páginas
Exámenes - examen test lab quifi.pdf
pdf
5 páginas
761
9
Ejercicios - Tema 1. Complementos de Termodinámicos.pdf
438
3
Ejercicios - Problemas resueltos 2º Cuatrimestre 2017-2018.pdf
52 páginas
430
Ejercicios - Tema 4. Cinética Química.pdf
47 páginas
374
0
Ejercicios - Ejercicios-Primer-Cuatri-QF-II.pdf
69 páginas
682
5
Exámenes - IMG-20161021-WA0002-copia.jpg
jpg
329
Ejercicios - QUIFI 1º CUATRIMESTRE_Parte1.pdf
32 páginas
265
Ejercicios - Problemas-2o-Cuatri.pdf
717
1
Exámenes - IMG-20161021-WA0003-copia.jpg
274
Exámenes - IMG-20161021-WA0001-copia.jpg
281
4
Prácticas - examen lab 2017.pdf
2 páginas
363
Exámenes - Preguntas-y-Problemas-Examen-Labo-QF2.pdf
8 páginas
356
10
Ejercicios - Tema 2. Termodinámica Estadística.pdf
263
2
Ejercicios - Ejercicios-Segundo-Cuatri-QF-II.pdf
59 páginas
347
Prácticas - Examen laboratorio QF II 2015.pdf
331
Ejercicios - QUIFI 1º CUATRIMESTRE_Parte2.pdf
189
Ejercicios - Tema 5. Superficies e Interfases.pdf
42 páginas
224
Exámenes - 2º_Cuatrimestre_Junio_2018.pdf
7 páginas
308
Prácticas - PRACTICA-1.docx
docx
29
Exámenes - Recopilacion-examenes-QF-II-Parte-2.pdf
17 páginas
295