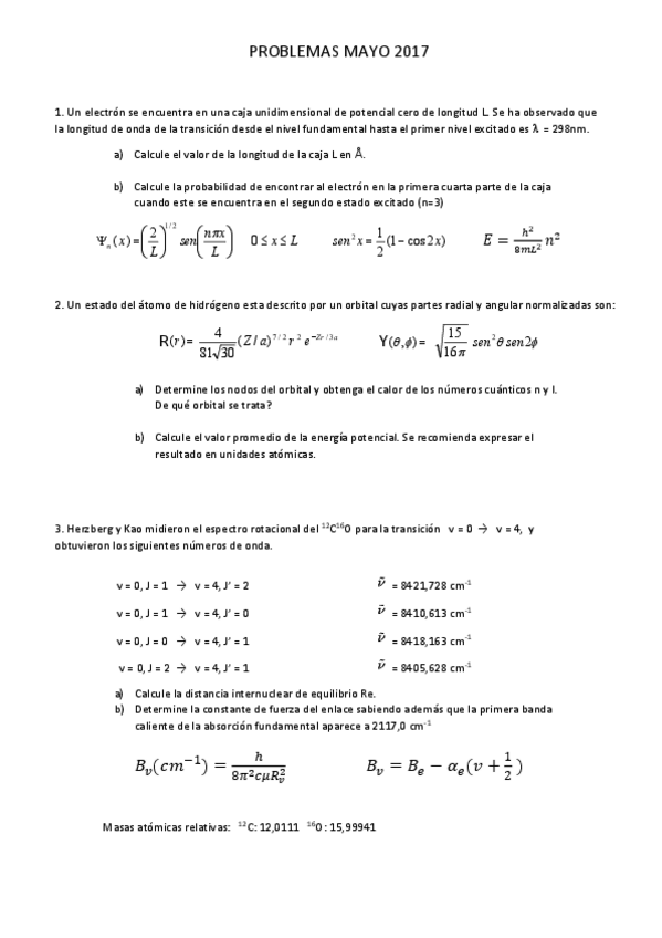
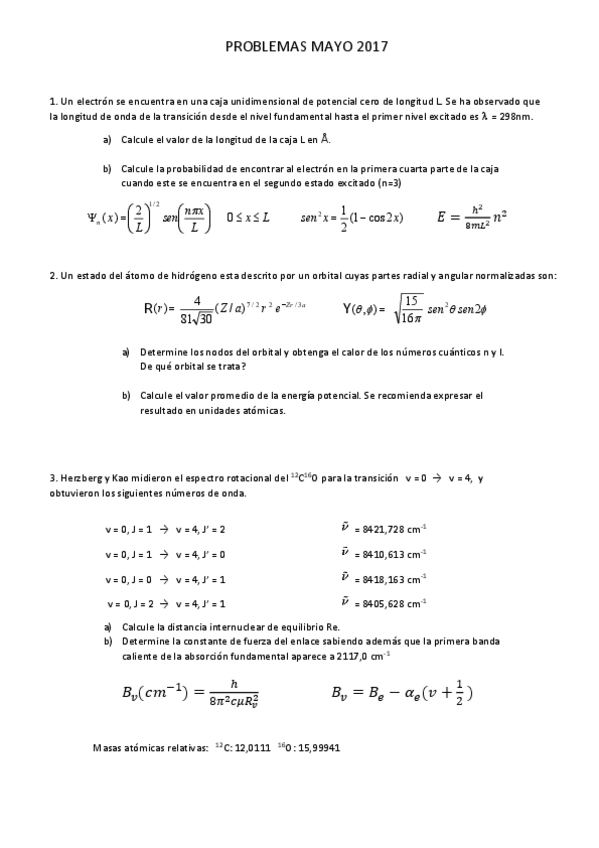
Portada
Asignatura
Grado en Química (UV)
Química Física II
Fecha de subida
16 sep 2020
Categoría
examenes
Etiquetas
Apuntes - Examenes-resueltos.pdf
pdf
46 páginas
271
6
Ejercicios - Cuestiones-y-problemas-T5-Q-F-I-l.pdf
17 páginas
242
2
Ejercicios - Problemas-T7-QF-ll.pdf
21 páginas
175
Apuntes - TEMA 2
9 páginas
182
3
Test - qcafca-II.pdf
2 páginas
155
0
Apuntes - Cuestiones T2
5 páginas
173
Ejercicios - Cuestiones-T3-QF-ll-2.pdf
16 páginas
185
4
Exámenes - Teoria-Junio-2016.pdf
114
Ejercicios - Cuestiones-T6-QF-II.pdf
11 páginas
177
1
Apuntes - Ejercicios-T2-y-T3.pdf
117
Apuntes - TEMA 1
7 páginas
147
Ejercicios - Cuestiones-T7-Q-F-ll.pdf
14 páginas
171
Ejercicios - T7. Cuestiones y problemas
8 páginas
195
Ejercicios - Cuestiones-T1-QF-II.pdf
159
Ejercicios - Cuestiones-T4-QF-ll.pdf
154
Ejercicios - Problemas-T2-QF-ll.pdf
18 páginas
148
Exámenes - junio-2018-Qcafca-II.pdf
3 páginas
102
Ejercicios - Problemas-T3-QF-ll.pdf
15 páginas
166
Ejercicios - T5. Cuestiones y problemas
10 páginas
Ejercicios - Cuestiones-T2-QF-ll.pdf
152