chevron_left
chevron_right
Todo
Apuntes
Ejercicios
Exámenes
chevron_left
chevron_right

He publicado nuevos apuntes de 3º Química Física II: APUNTES-QUIFI-II-2o-CUATRI.pdf

62 páginas

Los apuntes están hechos con apuntes de castellano, euskera y libros

48 páginas

He publicado nuevos ejercicios de 3º Química Física II: 2.-GAIA-2.-ariketa.pdf

3 páginas

He publicado nuevos ejercicios de 3º Química Física II: 1.-GAIA-20.-ariketa.pdf

3 páginas

He publicado nuevos ejercicios de 3º Química Física II: 6.-GAIA-6.-ariketa.pdf

2 páginas

He publicado nuevos ejercicios de 3º Química Física II: 5.-GAIA-10.-ariketa.pdf

2 páginas

En los ejercicios de clase el resultado está mal. En una tutoría me confirmó que esto está bien.

4 páginas

He publicado nuevos ejercicios de 3º Química Física II: problemas-tema-3.pdf

18 páginas

He publicado nuevos ejercicios de 3º Química Física II: ejercicios-tema-2.pdf

17 páginas

He publicado nuevos ejercicios de 3º Química Física II: ejercicios-tema-1.pdf

27 páginas

He publicado nuevos ejercicios de 3º Química Física II: Tema-2.pdf

36 páginas

He publicado nuevos apuntes de 3º Química Física II: Tema-3-Estructura-Atomica.pdf

7 páginas

He publicado nuevos apuntes de 3º Química Física II: Tema-2-Aplicaciones-de-la-Mecanica-Cuantica.pdf

8 páginas

He publicado nuevos apuntes de 3º Química Física II: Tema-1-Fundamentos-de-Mecanica-Cuantica.pdf

8 páginas

He publicado nuevos apuntes de 3º Química Física II: Esquemas-Quifi-2.pdf

9 páginas

He publicado nuevos apuntes de 3º Química Física II: Quifi-2.-T9.pdf

6 páginas

He publicado nuevos apuntes de 3º Química Física II: Quifi-2.-T7.pdf

4 páginas

He publicado nuevos apuntes de 3º Química Física II: Quifi-2.-T6.pdf

4 páginas

He publicado nuevos apuntes de 3º Química Física II: Quifi-2.-T5.pdf

8 páginas
Anónimo

@Anónimo

He publicado nuevos examenes de 3º Química Física II: Azterketak-lehen-partzialak.pdf

9 páginas

He publicado nuevos apuntes de 3º Química Física II: Azterketak-bigarren-partzialak.pdf

2 páginas

He publicado nuevos apuntes de 3º Química Física II: 6.pdf

4 páginas

He publicado nuevos apuntes de 3º Química Física II: 5.pdf

5 páginas

He publicado nuevos apuntes de 3º Química Física II: 4.pdf

2 páginas

He publicado nuevos apuntes de 3º Química Física II: 2Gaia-ariketak.pdf

8 páginas

He publicado nuevos apuntes de 3º Química Física II: 1Gaia-ariketak.pdf

10 páginas

apuntes

-

Tema 9. Termodinámica estadística

He publicado nuevos apuntes de 3º Química Física II: Tema 9. Termodinámica estadística

Problemas-Tema-9.pdf
Tema-9.pdf

apuntes

-

Tema 7. Espectroscopias electronicas

He publicado nuevos apuntes de 3º Química Física II: Tema 7. Espectroscopias electronicas

Tema-7.pdf
Problemas-Tema-7.pdf

apuntes

-

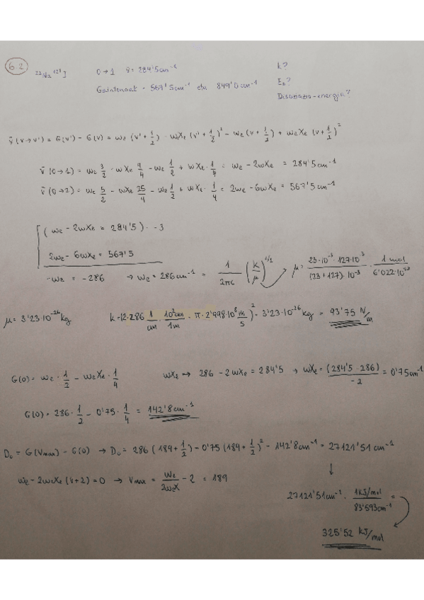
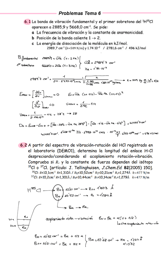
Tema 6. Espectroscopia de vibración

He publicado nuevos apuntes de 3º Química Física II: Tema 6. Espectroscopia de vibración

Problemas-Tema-6.pdf
Tema-6.pdf

apuntes

-

Tema 5. espectroscopia de rotacion

He publicado nuevos apuntes de 3º Química Física II: Tema 5. espectroscopia de rotacion

Tema-5.pdf
Problemas-Tema-5.pdf

apuntes

-

Tema 4. Estructura molecular

He publicado nuevos apuntes de 3º Química Física II: Tema 4. Estructura molecular

Problemas-Tema-4.pdf
Tema-4.pdf

apuntes

-

Tema 3. Estructura atomica

He publicado nuevos apuntes de 3º Química Física II: Tema 3. Estructura atomica

Problemas-Tema-3.pdf
Tema-3.pdf

apuntes

-

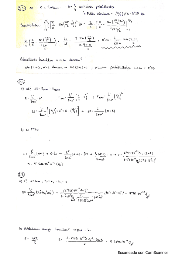
Tema 2: aplicaciones mecánica cuántica

He publicado nuevos apuntes de 3º Química Física II: Tema 2: aplicaciones mecánica cuántica

Problemas-Tema-2.pdf
Tema-2.pdf

apuntes

-

Tema 1: fundamentos mecanica cuantica

He publicado nuevos apuntes de 3º Química Física II: Tema 1: fundamentos mecanica cuantica

Tema-1.pdf
Problemas-Tema-1.pdf
¡Estás al día!

¡Estás al día!

Has visto todos los archivos