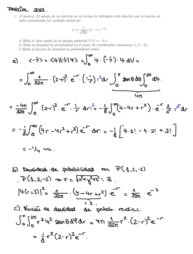
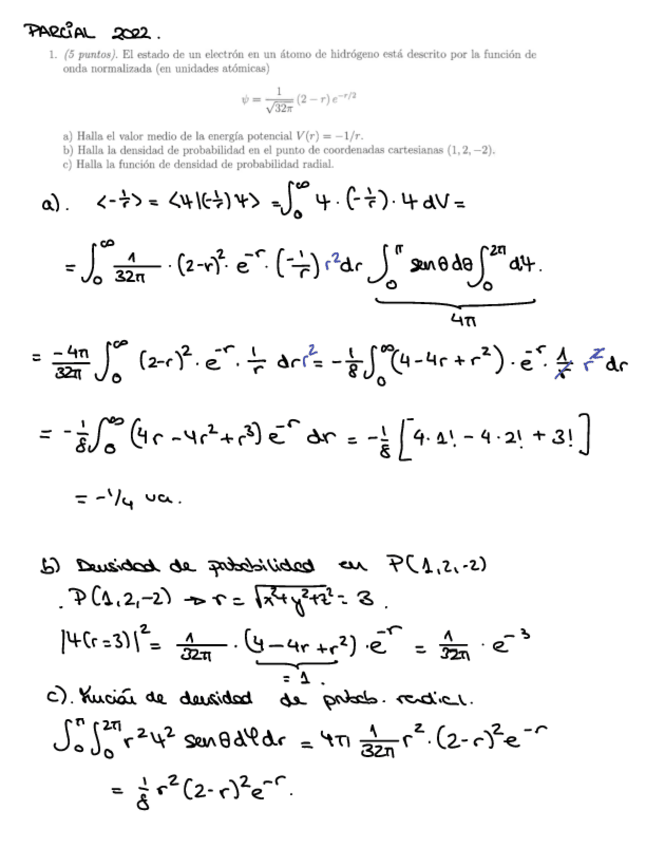
Holitas_
Exámenes
Examenes-variados-SOLUCION-Quifi-III.pdf
16 páginas
Solucion-Ordinaria-enero-2022-Quifi-III.pdf
5 páginas
Test-Examen-Extraordinario-2023-Quifi-III.pdf
1 página
Prácticas - Barreras Potencial 8.00.ods
ods
143
0
Exámenes - Examen-2017.pdf
pdf
3 páginas
277
Ejercicios - Seminario-2.pdf
28 páginas
181
3
Prácticas - Informe-Barrerasdepotencial-Orbitalesatomicos22-23-1.ods
93
Ejercicios - Seminario-3.pdf
25 páginas
170
Exámenes - Solucion-Ordinaria-enero-2022-Quifi-III.pdf
165
1
Prácticas - espectros.pdf
8 páginas
194
Test - Examen2-de-Quimica-Fisica-III.pdf
4 páginas
164
Prácticas - Orbitalesmoleculares.pdf
13 páginas
168
Exámenes - Examenes-variados-SOLUCION-Quifi-III.pdf
125
Apuntes - Ejercicios-tema-2-qf.pdf
15 páginas
245
Prácticas - Barrerasdepotencial-informe-LSO.pdf
150
Test - Examen1-de-Quimica-Fisica-III.pdf
Prácticas - Absorcioncolorantes-informeLSO.pdf
148
Prácticas - Espectroscopia Atomica 9.60.pdf
12 páginas
183
Exámenes - examen-FQ3-23-24.pdf
107
2
Exámenes - Convocatoria-ordinaria-enero-2023QF.pdf
2 páginas
Ejercicios - SEMINARIO-T3-TEMPORAL-faltan-cosas.pdf
17 páginas
100
Prácticas - Informe-Barreras-de-Potencial-Orbitales-Atomicos.xlsx
xlsx
58
Apuntes - Ejercicios-tema-3-qf.pdf
9 páginas
166