Química General y Orgánica

Todo
Apuntes
Ejercicios
Exámenes
Otros
Prácticas
chevron_left
chevron_right

He publicado nuevos apuntes de 1º Química General y Orgánica: cooperativos-quimica.pdf

11 páginas

He publicado nuevos apuntes de 1º Química General y Orgánica: TEMA-6.-GRUPOS-FUNCIONALES-CON-EFECTO-INDUCTIVO.pdf

7 páginas

He publicado nuevos apuntes de 1º Química General y Orgánica: TEMA-5.-ESQUELETO-CARBONADO.pdf

13 páginas

He publicado nuevos practicas de 1º Química General y Orgánica: PRACTICAS-COMPLETAS-QUIMICA.pdf

6 páginas

He publicado nuevos apuntes de 1º Química General y Orgánica: TEMA-1.-TAMPONES.pdf

4 páginas

He publicado nuevos apuntes de 1º Química General y Orgánica: TEMA-0.-ACIDO-BASE-introduccion.pdf

2 páginas

He publicado nuevos apuntes de 1º Química General y Orgánica: CONCEPTOS-BASICOS-DE-ORGANICA.pdf

4 páginas

He publicado nuevos apuntes de 1º Química General y Orgánica: TEMA-2.-ENLACE-QUIMICO.pdf

4 páginas

Isomería y funciones. Ácido-Base

4 páginas

1º GENETICA

4 páginas

apuntes

-

Apuntes

He publicado nuevos apuntes de 1º Química General y Orgánica: Apuntes

TEMA-4-esqueleto-carbonado.pdf
TEMA-5 grupos funcionales con efecto inductivo .pdf
TEMA-6-grupos-carbonilo-y-carboxilo.pdf
TEMA-7-redox.pdf
Formulacion-inorganica.pdf

ejercicios

-

Ejercicios

He publicado nuevos ejercicios de 1º Química General y Orgánica: Ejercicios

PROBLEMAS-TEMA-7.pdf

He publicado nuevos apuntes de 1º Química General y Orgánica: Resumen-reacciones-organica.pdf

11 páginas

He publicado nuevos apuntes de 1º Química General y Orgánica: QUIMICA-ORGANICA-Y-GENERAL-ENTERO.pdf

56 páginas

He publicado nuevos apuntes de 1º Química General y Orgánica: QUIMICA.pdf

5 páginas

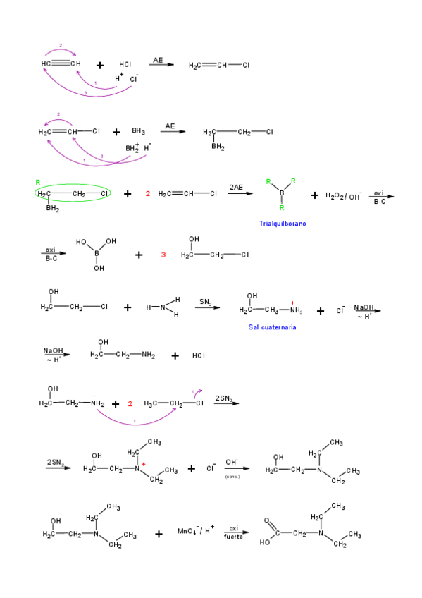
He publicado nuevos apuntes de 1º Química General y Orgánica: Rutas-sintesis-moleculas-organica.pdf

12 páginas

ejercicios

-

QUÍMICA GENERAL Y ORGÁNCA

He publicado nuevos ejercicios de 1º Química General y Orgánica: QUÍMICA GENERAL Y ORGÁNCA

Ejercicios-incrustados-tema-1.pdf
ejercicios-bloque-equilibrio-quimico-redox-solubilidad-pH.pdf

He publicado nuevos apuntes de 1º Química General y Orgánica: T3-T6-quimica-organica.pdf

14 páginas

He publicado nuevos apuntes de 1º Química General y Orgánica: Apuntes-Quimica.pdf

10 páginas

apuntes

-

QUÍMICA GENERAL Y ORGÁNCA

He publicado nuevos apuntes de 1º Química General y Orgánica: QUÍMICA GENERAL Y ORGÁNCA

TEMA-1-EQUILIBRIO-ACIDO-BASE.pdf
Ficha-repaso-acidos-y-bases-fuertes-o-debiles.pdf
TEMA-4-FUNCIONES-ORGANICAS-E-ISOMERIA.pdf
TEMA-3-NATURALEZA-DEL-ENLACE-QUIMICO-EN-UNA-MOLECULA.pdf
TEMA-6-GRUPOS-FUNCIONALES-CON-EFECTO-INDUCTIVO.pdf
TEMA-5-ESQUELETO-CARBONADO.pdf

practicas

-

QUÍMICA GENERAL Y ORGÁNCA

He publicado nuevos practicas de 1º Química General y Orgánica: QUÍMICA GENERAL Y ORGÁNCA

SEMINARIO-PRACTICAS.pdf

He publicado nuevos apuntes de 1º Química General y Orgánica: Tema-5-esqueleto-carbonado.pdf

5 páginas

He publicado nuevos examenes de 1º Química General y Orgánica: test-quimica-corregido.pdf

2 páginas
Anónimo

@Anónimo

He publicado nuevos examenes de 1º Química General y Orgánica: Rutas de exámenes corregidas.pdf

4 páginas

He publicado nuevos apuntes de 1º Química General y Orgánica: Química Organica.pdf

9 páginas

He publicado nuevos apuntes de 1º Química General y Orgánica: Practicas-y-Seminario.pdf

13 páginas

He publicado nuevos apuntes de 1º Química General y Orgánica: Tema-9-Complejos.pdf

5 páginas

He publicado nuevos apuntes de 1º Química General y Orgánica: Tema-8-Redox-y-solubilidad.pdf

9 páginas

He publicado nuevos apuntes de 1º Química General y Orgánica: Resumen-Quimica-Organica.pdf

23 páginas

He publicado nuevos apuntes de 1º Química General y Orgánica: Seminario-Quimica.pdf

2 páginas

apuntes

-

QUÍMICA GENERAL

He publicado nuevos apuntes de 1º Química General y Orgánica: QUÍMICA GENERAL

Tema-7-Grupo-Carbonilo-y-Carboxilo.pdf
Tema-5-Esqueleto-Carbonado.pdf
Repaso-quimica-organica.pdf
Tema-6-Grupos-Funcionales-con-efecto-inductivo.pdf
Tema-3-Y-4-Quimica-Organica.pdf
Resolucion-Primer-Parcial-Quimica.pdf

He publicado nuevos examenes de 1º Química General y Orgánica: PARCIAL-QUIMICA-2022-2023.pdf

8 páginas

apuntes

-

MECANISMOS DE REACCIÓN

Teoría (mecanismos detallados)

MECANISMOS-DE-REACCION.pdf
T.7-GRUPOS-CARBONILO-Y-CARBOXILO.pdf
T.6-EFECTO-INDUCTIVO.pdf

apuntes

-

Química (1º)

He publicado nuevos apuntes de 1º Química General y Orgánica: Química (1º)

Apuntes-para-parcial-Quimica.pdf
Apuntes-para-final-Quimica.pdf
resumen-reacciones-organica.pdf

ejercicios

-

EJERCICIOS RESULTOS

He publicado nuevos ejercicios de 1º Química General y Orgánica: EJERCICIOS RESULTOS

EjMOLECULASORGANICA.pdf
T.7INCRUSTADOSCarboniloyCarboxilo.pdf
T.7COOPERATIVOS.pdf
T.6INCRUSTADOSEfectoInductivo.pdf
T.6COOPERATIVOS.pdf
T.5COOPERATIVOS.pdf

apuntes

-

Apuntes química general y orgánica

He publicado nuevos apuntes de 1º Química General y Orgánica: Apuntes química general y orgánica

Tema-1-acido-base.pdf
Tema-2-naturaleza-del-enlace-quimico-de-una-molecula.pdf
Tema-3-funciones-organicas-e-isomeria.pdf
Tema-4-esqueleto-carbonado.pdf
Tema-5-grupos-funcionales-con-efecto-inductivo.pdf
Tema-6-grupos-carbonilo-y-carboxilo.pdf

He publicado nuevos ejercicios de 1º Química General y Orgánica: ejercicios-Acido-base.pdf

8 páginas

examenes

-

Química

He publicado nuevos examenes de 1º Química General y Orgánica: Química

Correccion-parcial.pdf

apuntes

-

Química

He publicado nuevos apuntes de 1º Química General y Orgánica: Química

Resumen-todo-quimica.pdf

He publicado nuevos ejercicios de 1º Química General y Orgánica: Ruta-lidocaina.pdf

3 páginas

He publicado nuevos ejercicios de 1º Química General y Orgánica: Formulacion-y-ejercicios-organica-e-inorganica.pdf

12 páginas

apuntes

-

Química

He publicado nuevos apuntes de 1º Química General y Orgánica: Química

Tema-1-Equilibrio-Acido-base.pdf
Tema-3-Naturaleza-del-enlace-quimico-en-una-molecula.pdf
Tema-4-Funciones-organicas-e-isomeria.pdf
Tema-5-Esqueleto-carbonado.pdf

apuntes

-

APUNTES TODO QUÍMICA

He publicado nuevos apuntes de 1º Química General y Orgánica: APUNTES TODO QUÍMICA

TEMA-1.pdf
TEMA-2.pdf
TEMA-3.pdf
TEMA-4.pdf
TEMA-5.pdf
TEMA-6.pdf

He publicado nuevos apuntes de 1º Química General y Orgánica: Ejercicios-tampones-y-complejos.pdf

8 páginas

He publicado nuevos apuntes de 1º Química General y Orgánica: Moleculas-hechas.pdf

15 páginas

He publicado nuevos apuntes de 1º Química General y Orgánica: Apuntes-organica.pdf

3 páginas

He publicado nuevos apuntes de 1º Química General y Orgánica: Moleculas-hechas.pdf

9 páginas

He publicado nuevos apuntes de 1º Química General y Orgánica: Ejercicio-tipo-examen-final.pdf

2 páginas

He publicado nuevos apuntes de 1º Química General y Orgánica: Apuntes-todo-organica.pdf

9 páginas

He publicado nuevos apuntes de 1º Química General y Orgánica: Apuntes-practicas.pdf

1 página

He publicado nuevos apuntes de 1º Química General y Orgánica: Tema-10.pdf

4 páginas

He publicado nuevos apuntes de 1º Química General y Orgánica: Tema-5.pdf

19 páginas

He publicado nuevos apuntes de 1º Química General y Orgánica: Tema-3.pdf

10 páginas

He publicado nuevos apuntes de 1º Química General y Orgánica: Tema-1-Eq-Acido-Base.pdf

16 páginas

He publicado nuevos apuntes de 1º Química General y Orgánica: Tema-9-Redox.pdf

17 páginas

He publicado nuevos apuntes de 1º Química General y Orgánica: Tema-6-Final.pdf

9 páginas

He publicado nuevos apuntes de 1º Química General y Orgánica: Tema-7-Final.pdf

10 páginas

He publicado nuevos apuntes de 1º Química General y Orgánica: Tema-2.pdf

4 páginas

apuntes

-

Orgánica

He publicado nuevos apuntes de 1º Química General y Orgánica: Orgánica

Ejercicios-tema-5.pdf
Teoria-condensacion-aldolica.pdf
Sintesis-paracetamol-e-ibuprofeno.pdf
Resumen-reacciones-organicas.pdf
Problemas-5.pdf
Problemas-6.pdf

He publicado nuevos apuntes de 1º Química General y Orgánica: Teoria-cinetica.pdf

2 páginas