mafupar
Ejercicios RESUELTOS Temas 1, 2, 4, 5
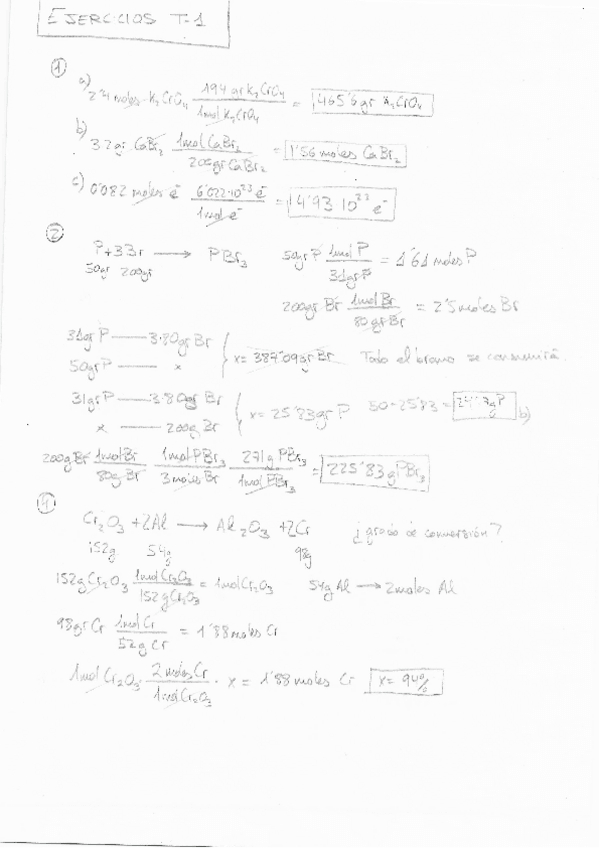
EJERCICIOS T1.pdf
12 páginas
EJERCICIOS T2.pdf
10 páginas
EJERCICIOS T4.pdf
6 páginas
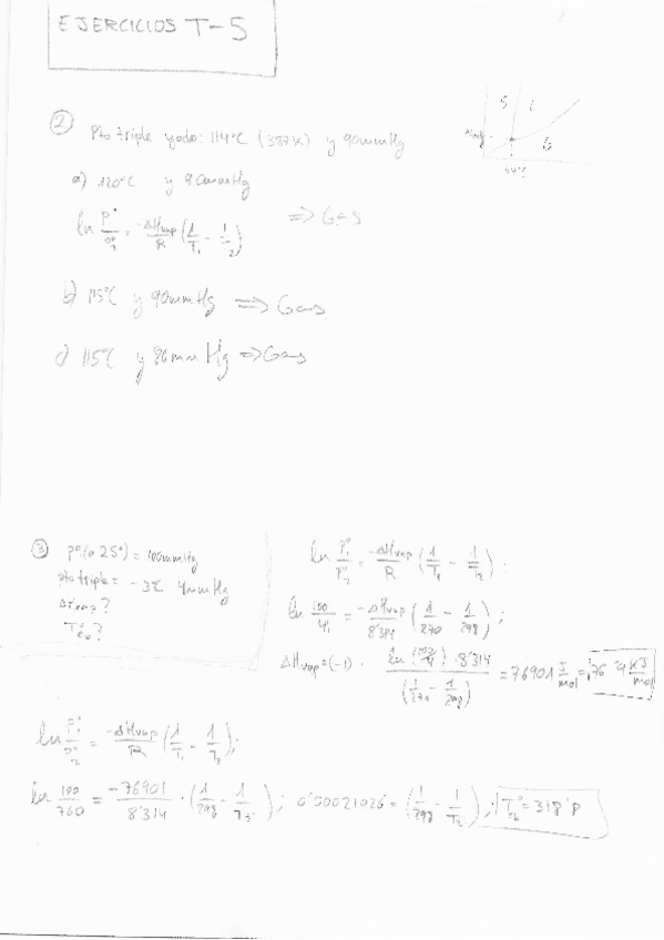
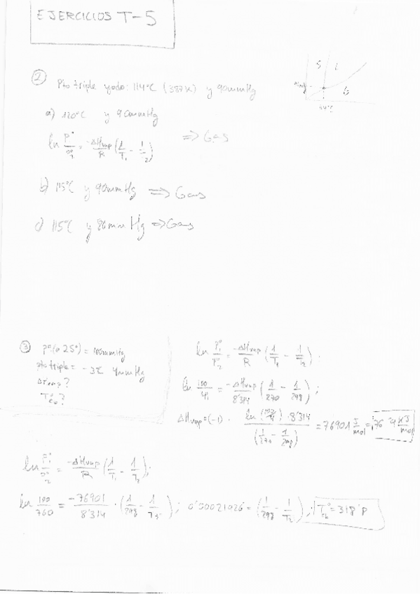
EJERCICIOS T5.pdf
Apuntes - Boletin tema 1.pdf
pdf
22 páginas
448
6
Apuntes - FORMULARIO QUÍMICA.pdf
4 páginas
604
16
Exámenes - Primer examen de formulacion resuelto.pdf
1 página
379
2
Exámenes - Segundo examen de formulación resuelto.pdf
285
Ejercicios - Seminario 1. Balance de materia.pdf
3 páginas
266
Exámenes - Formulación test.pdf
2 páginas
227
1
Apuntes - quimica.pdf
9 páginas
193
Ejercicios - download (1).pdf
13 páginas
209
0
Apuntes - Seminario balance de materia.pdf
170
Exámenes - Examenes-RESUELTOS-Quimica.pdf
83 páginas
286
13
Apuntes - TEMA 6 QUÍMICA.pdf
185
5
Ejercicios - EJERCICIOS T5.pdf
155
Ejercicios - seminario acido base y pilas 2018.pdf
168
Apuntes - TEMA 8 QUÍMICA.pdf
162
Apuntes - TEMA 7 QUÍMICA.pdf
150
Apuntes - seminario 2017 acido base.pdf
143
Ejercicios - Seminario 2. Termoquímica.pdf
169
Ejercicios - Leccion1Estequiometria.pdf
18 páginas
249
7
Ejercicios - Seminario 3. Equilibrio líquido-vapor.pdf
173
Apuntes - seminario líquido vapor.pdf
191