mafupar
Ejercicios resueltos Temas 6, 8, 9
EJERCICIOS T9.pdf
8 páginas
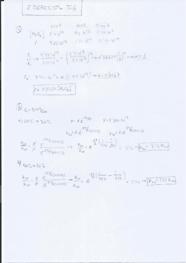
EJERCICIOS T6.pdf
9 páginas
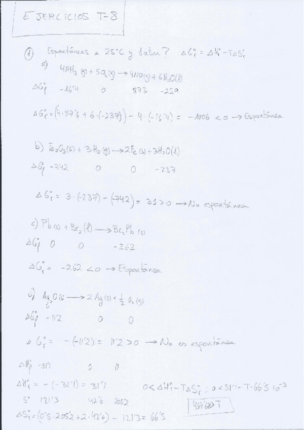
EJERCICIOS T8.pdf
14 páginas
Ejercicios - Ejercicios Boletin resueltos Quimica.pdf
pdf
76 páginas
8
2
Exámenes - quimica examenes- ejercicios y seminarios resueltos.pdf
25 páginas
146
1
Ejercicios - Ejercicios resueltos - Tema 6 Química.pdf
12 páginas
244
0
Ejercicios - Ejercicios resueltos - Tema 8 Química.pdf
16 páginas
211
Ejercicios - Ejercicios resueltos - Tema 5 Química.pdf
10 páginas
192
Ejercicios - Ejercicios resueltos - Tema 1 Química.pdf
28 páginas
216
Apuntes - resumen todo el temario de quimica.pdf
23 páginas
109
Ejercicios - Ejercicios-Tema-1.pdf
302
4
Exámenes - GIA final13_14sol.pdf
7 páginas
90
Exámenes - QG Dic 14 soluc.pdf
5 páginas
84
Apuntes - formulacion inorganica.pdf
45 páginas
57
Exámenes - Examenes_resueltos.rar
rar
Exámenes - GIA primer parcial_15 soluc.pdf
3 páginas
98
Exámenes - GIA sept-13.pdf
107
Exámenes - Formulario-Quimica.pdf
248
3
Ejercicios - tema 1 problemas propuestos.pdf
324
Ejercicios - EJERCICIOS T8.pdf
142
Ejercicios - Formulacion y nomenclatura.pdf
4 páginas
78
Apuntes - quimica.pdf
79