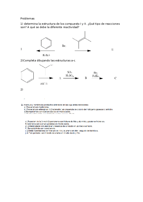
1o-examen-parcial-3.docx

user_4030695

Apuntes y examenes

29 archivos·

1o-examen-parcial-3.docx

Acidos-Carboxilicos.pdf

30 páginas

Alcanos-Estructura-y-reactividad-castellano.pdf

43 páginas

alcoholes-y-fenoles.pdf

36 páginas

Aldehidos-y-Cetonas.pdf

35 páginas

alquenos.pdf

27 páginas

alquinos.pdf

20 páginas

Aminas.pdf

14 páginas

Arenos-1.pdf

42 páginas

Cicloalcanos.pdf

25 páginas

Derivados-de-acidos-carboxilicos.pdf

24 páginas

Derivados-halogenados-SN-sustitucion-nucleofila.pdf

35 páginas

Ejemplosdereactivosnucleofilosyelectrofilos.-1.jpg

Ejemplosdereactivosnucleofilosyelectrofilos..jpg

ejercicios-estereoquimica.docx

Estereoquimica.pdf

29 páginas

nucleofilos-y-electrofilos.JPG

nucleofilos-y-electrofilos.pdf

6 páginas

problemas--1-intro-3.docx

problemas--alcoholes.docx

problemas-4-parcial.docx

problemas-alcanos-y-cicloalcanos-2.docx

problemas-generales-alquenos-y-alquinos.pdf

4 páginas

Problemas-SEar-y-ANu-1.docx

Problemas-SEar-y-ANu.docx

problemas-sobre-alquenos-nucleofilos-y-electrofilos.pdf

2 páginas

problemas-stereoquimica.docx

quimica-organica-clase-2-reacciones-de-enlace-quimico-35-638.jpg

TEMA-1-Introd-QO.pdf

75 páginas

content_copy

Archivos recomendados