Química Orgánica I

Todo
Apuntes
Ejercicios
Exámenes
Prácticas
chevron_left
chevron_right

He publicado nuevos practicas de 2º Química Orgánica I: resumen-examen-practicas.pdf

2 páginas

Teoría quimica orgánica

1 página

practicas

-

Cuaderno de practicas

He publicado nuevos practicas de 2º Química Orgánica I: Cuaderno de practicas

cuaderno-practica-1.pdf
cuaderno-practica-2.pdf

Resumen prácticas química orgánica I

3 páginas

practicas

-

Cuestiones prácticas corregidas

He publicado nuevos practicas de 2º Química Orgánica I: Cuestiones prácticas corregidas

cuestiones-practica-1.pdf
cuestiones-practica-2.pdf
cuestiones-practica-3.pdf

practicas

-

entregas practicas corregidas

He publicado nuevos practicas de 2º Química Orgánica I: entregas practicas corregidas

lista-disolventes-corregida.pdf
tabla-pka-corregida.pdf

practicas

-

Cuestiones prácticas organica 1 resueltas

He publicado nuevos practicas de 2º Química Orgánica I: Cuestiones prácticas organica 1 resueltas

Practica-2.1.pdf
Practica-1.pdf
Practica-2.2.pdf

apuntes

-

Apuntes Orgánica 1

He publicado nuevos apuntes de 2º Química Orgánica I: Apuntes Orgánica 1

Tema-3-Haloalcanos.pdf
Tema-4-Alcoholes-y-eteres.pdf
Tema-2-Alcanos-y-cicloalcanos.pdf
Tema-1-Estructura-compuestos.pdf

apuntes

-

SEMINARIOS ORGÁNICA

He publicado nuevos apuntes de 2º Química Orgánica I: SEMINARIOS ORGÁNICA

seminario-1-organica.pdf
Seminario-2.pdf
Seminario-3.pdf
Seminario-4.pdf
Seminario-5.pdf

Práctica 2. Resolución de una mezcla racémica de ibuprofeno

9 páginas

Normas laboratorio orgánica I

1 página

Aplicación de la extracción a la separación de los componentes de una mezcla. Recristalización, destilación y cromatografía

19 páginas

Cristalización en mezcla de disolventes

1 página

Guion de prácticas

23 páginas

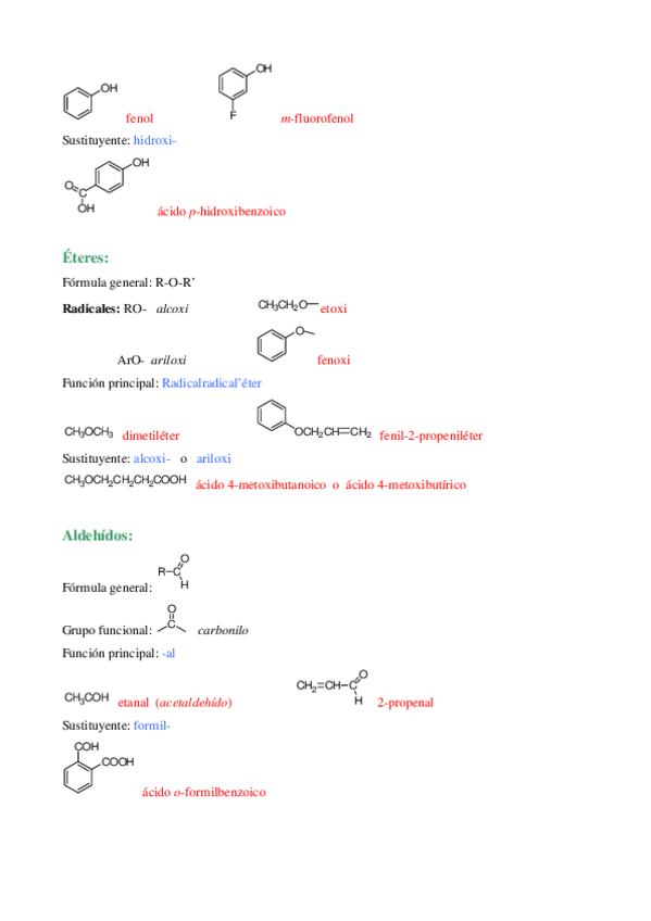
Nomenclatura compuestos orgánicos

6 páginas

Nomenclatura compuestos orgánicos

14 páginas

Ejercicios sin resolver: haloderivados

2 páginas

Ejercicios sin resolver: haloderivados

2 páginas

Ejercicios sin resolver: alcanos y cicloalcanos

1 página

Ejercicios sin resolver: estructura compuestos orgánicos

2 páginas

Soluciones ejercicios: aminas

4 páginas

Ejercicios sin resolver: aminas

2 páginas

Ejercicios sin resolver: alcoholes y éteres

2 páginas

ejercicios

-

SEMINARIOS RESUELTOS 2025

Ejercicios resueltos en clase con explicación en su mayoría. También incluye ejercicios de nomenclatura

Seminario-5.2-Q-Organica-I.pdf
Seminario-5-Q-Organica-I.pdf
Seminario-4-Q-Organica-I.pdf
Seminario-3.3-Q-Organica-I.pdf
Seminario-3.2-Q-Organica-I.pdf
Seminario-3-Q-Organica-I.pdf

He publicado nuevos practicas de 2º Química Orgánica I: Tabla-disolventes-organica-1.pdf

Miniatura no disponible
2 páginas

He publicado nuevos practicas de 2º Química Orgánica I: Resumenes-practicas-organica-1.pdf

7 páginas

practicas

-

Cuestiones RESUELTAS

He publicado nuevos practicas de 2º Química Orgánica I: Cuestiones RESUELTAS

CUESTIONES-PRACTICA-1.pdf
Tabla-Pka.pdf
Lista-Solventes.pdf
CUESTIONES-PRACTICA-22.pdf
CUESTIONES-PRACTICA-21.pdf

ejercicios

-

SEMINARIOS RESUELTOS (Con Explicaciones)

Seminarios explicados paso a paso...

Seminario-Tema-52.pdf
Seminario-Tema-51.pdf
Seminario-Tema-4.pdf
Seminario-Tema-33.pdf
Seminario-Tema-32.pdf
Seminario-Tema-31.pdf

He publicado nuevos apuntes de 2º Química Orgánica I: Entregas-organica-corregido.pdf

15 páginas

apuntes

-

apuntes de repaso

He publicado nuevos apuntes de 2º Química Orgánica I: apuntes de repaso

tarjetas-repaso.pdf
apuntes-repaso.pdf

examenes

-

examenes resueltos

He publicado nuevos examenes de 2º Química Orgánica I: examenes resueltos

examenes-resueltos.pdf

apuntes

-

temario

He publicado nuevos apuntes de 2º Química Orgánica I: temario

temario-y-mas-ejercicios-de-seminario.pdf
temario-con-ejercicios-seminario.pdf

apuntes

-

Apuntes

He publicado nuevos apuntes de 2º Química Orgánica I: Apuntes

Tema-5-Alquenos.pdf
Tema-3-Haloalcanos.pdf
Tema-4-Alcoholes y éteres.pdf
Anónimo

@Anónimo

He publicado nuevos examenes de 2º Química Orgánica I: Examen-parcial-1-2014-2015-1.pdf

2 páginas
Anónimo

@Anónimo

He publicado nuevos examenes de 2º Química Orgánica I: Examen-parcial-1-2012-2013.pdf

4 páginas
Anónimo

@Anónimo

He publicado nuevos examenes de 2º Química Orgánica I: Examen-Mayo-2016-1.pdf

2 páginas
Anónimo

@Anónimo

He publicado nuevos examenes de 2º Química Orgánica I: Examen-mayo-2013-14.pdf

2 páginas
Anónimo

@Anónimo

He publicado nuevos examenes de 2º Química Orgánica I: Examen-junio-2013-14B.pdf

2 páginas
Anónimo

@Anónimo

He publicado nuevos ejercicios de 2º Química Orgánica I: Examen-junio-2012-13.pdf

2 páginas
Anónimo

@Anónimo

He publicado nuevos ejercicios de 2º Química Orgánica I: Problemas-Tema-4-alquenos-SOLUCIONES.pdf

2 páginas

examenes

-

EXÁMENES años anteriores

He publicado nuevos examenes de 2º Química Orgánica I: EXÁMENES años anteriores

Parcial-2023.pdf
Final-2022.pdf
Extraordinaria-2022.pdf
Final-2021.pdf
Extraordinaria-2021.pdf
Parcial-2020-turno-manana.pdf

ejercicios

-

Seminarios resueltos

He publicado nuevos ejercicios de 2º Química Orgánica I: Seminarios resueltos

Seminario-0-nomenclatura.pdf
Seminario-1-compuestos-organicos.pdf
Seminario-2-alcanos-y-cicloalcanos.pdf
Seminario-3-haloalcanos.pdf
Seminario-4-alcoholes-y-eteres.pdf
Seminario-5-alquenos.pdf

ejercicios

-

Entregas 2024-2025

He publicado nuevos ejercicios de 2º Química Orgánica I: Entregas 2024-2025

Entrega-1.pdf
Entrega-2.pdf
Entrega-3.pdf
Entrega-4.pdf
Entrega-5.pdf
Entrega-6.pdf

practicas

-

PRÁCTICAS informes + resúmen

He publicado nuevos practicas de 2º Química Orgánica I: PRÁCTICAS informes + resúmen

Practica-1-extraccion-cromatografia-cristalizacion.pdf
Cuestiones-practica-1.pdf
Practica-2.1-sustitucion-nucleofila.pdf
Cuestiones-practica-2.1.pdf
Practica-2.2-sintesis-del-cloruro-de-tercbutilo.pdf
Cuestiones-practica-2.2.pdf

apuntes

-

RESÚMENES completos

He publicado nuevos apuntes de 2º Química Orgánica I: RESÚMENES completos

Tema-1-compuestos-organicos.pdf
Tema-2-alcanos-y-cicloalcanos.pdf
Tema-3-haloalcanos.pdf
Tema-4-alcoholes-y-eteres.pdf
Tema-5-alquenos.pdf

apuntes

-

APUNTES

He publicado nuevos apuntes de 2º Química Orgánica I: APUNTES

Tema-1-Estructura-de-los-compuestos-organicos.pdf
Tema-2-Alcanos-y-cicloalcanos.pdf
Tema-3-Haloalcanos.pdf
Tema-4-Alcoholes-y-eteres.pdf
Tema-5-Alquenos.pdf

ejercicios

-

SEMINARIOS

He publicado nuevos ejercicios de 2º Química Orgánica I: SEMINARIOS

Tema-1-Estructura-de-los-compuestos-organicos.pdf
Seminario-tema-2-Alcanos-y-cicloalcanos.pdf
Seminario-tema-4-Alcoholes-y-eteres.pdf
Seminario-tema-2.2-Alcanos-y-cicloalcanos.pdf
Seminario-tema-3.1-Haloderivados.pdf
Seminario-tema-3.2-Haloderivados.pdf

ejercicios

-

Seminarios Orgánica I

He publicado nuevos ejercicios de 2º Química Orgánica I: Seminarios Orgánica I

seminario-1.pdf
seminario-2.pdf
seminario-3.pdf
seminario-4.pdf
seminario-5.pdf

apuntes

-

TEMAS QOI

He publicado nuevos apuntes de 2º Química Orgánica I: TEMAS QOI

TEMA-1-ESTRUCTURA-DE-LOS-COMPUESTOS-ORGANICOS.pdf
TEMA-2-ALCANOS-Y-CICLOALCANOS.pdf
TEMA-3-HALOALCANOS.pdf
TEMA-4.1-ALCOHOLES.pdf
TEMA-4.2-ETERES.pdf
TEMA-5-ALQUENOS.pdf

apuntes

-

apuntes organica I

He publicado nuevos apuntes de 2º Química Orgánica I: apuntes organica I

tema-2-y-3-organica.pdf
tema-1-organica.pdf
eliminaciones.pdf
alquenos-parte-1.pdf
alquenos-parte-2.pdf

He publicado nuevos examenes de 2º Química Orgánica I: EXAMEN-GLOBAL-Ene-2024.pdf

1 página

apuntes

-

Apuntes Organica I

He publicado nuevos apuntes de 2º Química Orgánica I: Apuntes Organica I

T1-Estructura-de-los-compuestos-organicos.pdf
T2-Alcanos-y-cicloalcanos.pdf
T3-Sustitucion.pdf
T3-Eliminacion.pdf
T4-Alcoholes-y-Eteres.pdf
T5-Alquenos.pdf

apuntes

-

Apuntes Q. Orgánica I

He publicado nuevos apuntes de 2º Química Orgánica I: Apuntes Q. Orgánica I

Tema-1-Q.Org-I-Parte-1.pdf
TEMA-1-ORGANICA.pdf
TEMA-2-ORGANICA.pdf
TEMA-3-ORGANICA.pdf
T4-ALCOHOLES-Y-ETERES..pdf

He publicado nuevos ejercicios de 2º Química Orgánica I: Seminario-3.pdf

2 páginas

He publicado nuevos ejercicios de 2º Química Orgánica I: Seminario-2.pdf

2 páginas

He publicado nuevos ejercicios de 2º Química Orgánica I: Seminario-1.pdf

3 páginas

apuntes

-

Resumen presentaciones

He publicado nuevos apuntes de 2º Química Orgánica I: Resumen presentaciones

Tm-1-Estructura-de-los-compuestos-organicos.pdf
Tm-2-Alcanos-y-cicloalcanos.pdf

He publicado nuevos apuntes de 2º Química Orgánica I: APUNTES-con-EJEMPLOS-de-todos-los-temas-y-EJERCICIOS-RESUELTOS-para-el-final.pdf

11 páginas

apuntes

-

Apuntes :)

He publicado nuevos apuntes de 2º Química Orgánica I: Apuntes :)

Tema-1.pdf
Tema-2.pdf

apuntes

-

SEMINARIOS (enunciados + solucion corregida):)

He publicado nuevos apuntes de 2º Química Orgánica I: SEMINARIOS (enunciados + solucion corregida):)

Seminario-Nomenclatura.pdf
Seminario-0.pdf
Seminario-T1.pdf