Química Orgánica I

Todo
Apuntes
Ejercicios
Exámenes
Otros
Prácticas
publication
Test
chevron_left
chevron_right

He publicado nuevos apuntes de 2º Química Orgánica I: Tabla-comparativa-reacciones-SN-y-E.pdf

1 página

He publicado nuevos apuntes de 2º Química Orgánica I: TEMA-8-ALQUENOS-I.pdf

2 páginas

He publicado nuevos apuntes de 2º Química Orgánica I: TEMA-4-ALCANOS.pdf

3 páginas

He publicado nuevos apuntes de 2º Química Orgánica I: TEMA-5-CICLOALCANO.pdf

3 páginas

Ejercicios Serie 9 hechos en clase

10 páginas

apuntes

-

Bloque 1

He publicado nuevos apuntes de 2º Química Orgánica I: Bloque 1

TEMA-2-ESTRUCTURA-Y-REACTIVIDAD.pdf
TEMA-3-ESTEREOQUIMICA.pdf

He publicado nuevos apuntes de 2º Química Orgánica I: TEMA-1ASPECTOS-GENERALES.pdf

3 páginas

He publicado nuevos practicas de 2º Química Orgánica I: CUADERNO-PRACTICAS-ORGANICA-I..pdf

4 páginas

Cuaderno de las prácticas de Orgánica I del primer cuatrimestre

11 páginas

Ficha resuelta de la práctica 2 de química orgánica I

2 páginas

Práctica 0 de seguridad de química orgánica I

2 páginas

ejercicios

-

Series 2024/2025

He publicado nuevos ejercicios de 2º Química Orgánica I: Series 2024/2025

Serie-7.pdf
Serie-2.pdf
Serie-4.pdf
Serie-5.pdf
Serie-6.pdf
Serie-3.pdf

He publicado nuevos ejercicios de 2º Química Orgánica I: TODAS LAS SERIES COMPLETAS.pdf

87 páginas

He publicado nuevos test de 2º Química Orgánica I: Test-organica.pdf

23 páginas

apuntes

-

Reacciones Alquenos, Alquinos y Alcoholes

He publicado nuevos apuntes de 2º Química Orgánica I: Reacciones Alquenos, Alquinos y Alcoholes

Esquemas-Alquenos.pdf
Miniatura no disponible
Alquinos-y-Alcoholes.pdf

He publicado nuevos ejercicios de 2º Química Orgánica I: Serie-5.-Alquenos-y-alquinos-CORREGIDO.pdf

23 páginas

He publicado nuevos ejercicios de 2º Química Orgánica I: Serie-4.-Haluros-de-alquilo-CORREGIDO.pdf

10 páginas

He publicado nuevos ejercicios de 2º Química Orgánica I: Serie-3.-Alcanos-y-cicloalcanos-CORREGIDO.pdf

8 páginas

He publicado nuevos ejercicios de 2º Química Orgánica I: Serie-1.-Formulacion-2024-CORREGIDO.pdf

5 páginas

ejercicios

-

SEMINARIOS RESUELTOS

He publicado nuevos ejercicios de 2º Química Orgánica I: SEMINARIOS RESUELTOS

Miniatura no disponible
SEMINARIO-5.zip
Miniatura no disponible
SEMINARIO-1.zip
Miniatura no disponible
SEMINARIOS-6-y-7.zip
Miniatura no disponible
SEMINARIO-8.zip
Miniatura no disponible
SEMINARIO-3.zip
Miniatura no disponible
SEMINARIO-2.zip

He publicado nuevos apuntes de 2º Química Orgánica I: RESUMEN-REACCIONES.zip

Miniatura no disponible
zip

apuntes

-

TEMAS TEORIA

He publicado nuevos apuntes de 2º Química Orgánica I: TEMAS TEORIA

Miniatura no disponible
TEMAS-11-y-12-ALQUINOS.zip
Miniatura no disponible
TEMA-5-CICLOALCANOS.zip
Miniatura no disponible
TEMA-2-REACTIVIDAD.zip
Miniatura no disponible
TEMA-3-ESTEREOQUIMICA.zip
Miniatura no disponible
TEMA-4-ALCANOS.zip
Miniatura no disponible
TEMAS-89-y-10-ALQUENOS.zip

He publicado nuevos examenes de 2º Química Orgánica I: Examen-Formulacion.pdf

2 páginas

ejercicios

-

Seminarios

Enunciados y Series Resueltas

Serie-1.-Formulacion-soluciones.pdf
Serie-2-Estructura-y-enlace.-Estereoquimica-2024-2025.pdf
Serie-2-Resuelta.pdf
Serie-3.-Alcanos-y-cicloalcanos.pdf
Serie-3-Resuelta.pdf
Serie-4.-Haluros-de-alquilo-2024-2025.pdf

He publicado nuevos examenes de 2º Química Orgánica I: diciembre-2016-resuelto.pdf

4 páginas

He publicado nuevos examenes de 2º Química Orgánica I: final-2018-19-resuelto.pdf

3 páginas

He publicado nuevos examenes de 2º Química Orgánica I: recopilacion-verdadero-falso.pdf

4 páginas

He publicado nuevos ejercicios de 2º Química Orgánica I: ARANAS-VARIAS.pdf

7 páginas

He publicado nuevos ejercicios de 2º Química Orgánica I: formulacion.pdf

6 páginas

He publicado nuevos examenes de 2º Química Orgánica I: recopilacion-tipo-test.pdf

5 páginas

He publicado nuevos examenes de 2º Química Orgánica I: diciembre-2011-resuelto.pdf

3 páginas

He publicado nuevos examenes de 2º Química Orgánica I: final-2023-24-resuelto.pdf

5 páginas

apuntes

-

ESQUEMAS REACCIONES

He publicado nuevos apuntes de 2º Química Orgánica I: ESQUEMAS REACCIONES

Esquemas Haluros de Alquilo.pdf
Esquemas Alquenos.pdf
Esquemas Alquinos.pdf
Esquemas Alcoholes y Éteres.pdf
Esquemas Teoría.pdf

He publicado nuevos ejercicios de 2º Química Orgánica I: Soluciones-Serie-82023.-Alcoholes-fenoles-y-eteres.pdf

11 páginas

He publicado nuevos ejercicios de 2º Química Orgánica I: Soluciones-Serie-1.-Formulacion.pdf

5 páginas

He publicado nuevos ejercicios de 2º Química Orgánica I: Serie-8.-Alcoholes-fenoles-y-eteres.pdf

5 páginas

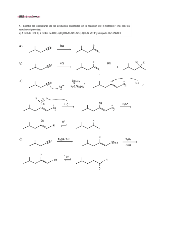
He publicado nuevos ejercicios de 2º Química Orgánica I: Serie-7.-Alquinos-y-Reacciones-radicalarias.pdf

3 páginas

He publicado nuevos ejercicios de 2º Química Orgánica I: Serie-6.-Alquenos.pdf

6 páginas

He publicado nuevos ejercicios de 2º Química Orgánica I: Serie-5.-Haluros-de-alquilo.-Reacciones-de-sustitucion-y-eliminacion.pdf

4 páginas

He publicado nuevos ejercicios de 2º Química Orgánica I: Serie-4.-Estereoquimica.pdf

3 páginas

He publicado nuevos ejercicios de 2º Química Orgánica I: Serie-1.-Formulacion.pdf

5 páginas

He publicado nuevos apuntes de 2º Química Orgánica I: Resumen-Reacciones-de-los-Alquenos.pdf

1 página

He publicado nuevos examenes de 2º Química Orgánica I: Examen-Dic27-Nov.pdf

4 páginas

He publicado nuevos apuntes de 2º Química Orgánica I: Estereoespecificidad-y-estereoselectividad-de-la-hidrogenacion-catalitica.pdf

1 página

He publicado nuevos apuntes de 2º Química Orgánica I: Reacciones-Alquenos-Resumen.pdf

2 páginas

He publicado nuevos apuntes de 2º Química Orgánica I: Reacciones-Alquinos-Resumen.pdf

2 páginas

He publicado nuevos apuntes de 2º Química Orgánica I: Reacciones-Alcoholes-Resumen.pdf

2 páginas

apuntes

-

Glosarios

He publicado nuevos apuntes de 2º Química Orgánica I: Glosarios

Glosario-leccion-1.pdf
Glosario-leccion-2-y-3.pdf
Glosario-leccion-4.pdf
Glosario-leccion-5.pdf
Glosario-leccion-6.pdf

apuntes

-

Temario

He publicado nuevos apuntes de 2º Química Orgánica I: Temario

Leccion-1.pdf
Leccion-2.pdf
Leccion-3.pdf
Leccion-4.pdf
Leccion-5.pdf
Leccion-6.pdf

examenes

-

EXÁMENES ORGÁNICA 1

He publicado nuevos examenes de 2º Química Orgánica I: EXÁMENES ORGÁNICA 1

Parcial Temas 1-7 Resuelto 2023/24.pdf
Parcial Temas 1-7 2023/24.pdf
Examen Formulación 1.pdf
Examen Formulación 2.pdf
Final 23/24 Resuelto.pdf
Recopilación Tipo Test (parte 1).pdf

Apuntes + Ejercicios

19 páginas

He publicado nuevos apuntes de 2º Química Orgánica I: QUIMICA-DE-ALQUENOS-TODAS-LOS-MECANISMOS.pdf

17 páginas

He publicado nuevos practicas de 2º Química Orgánica I: CuadernoLabOrganicaI.pdf

4 páginas

He publicado nuevos ejercicios de 2º Química Orgánica I: Examen Seminario Haluros de Alquilo.pdf

2 páginas

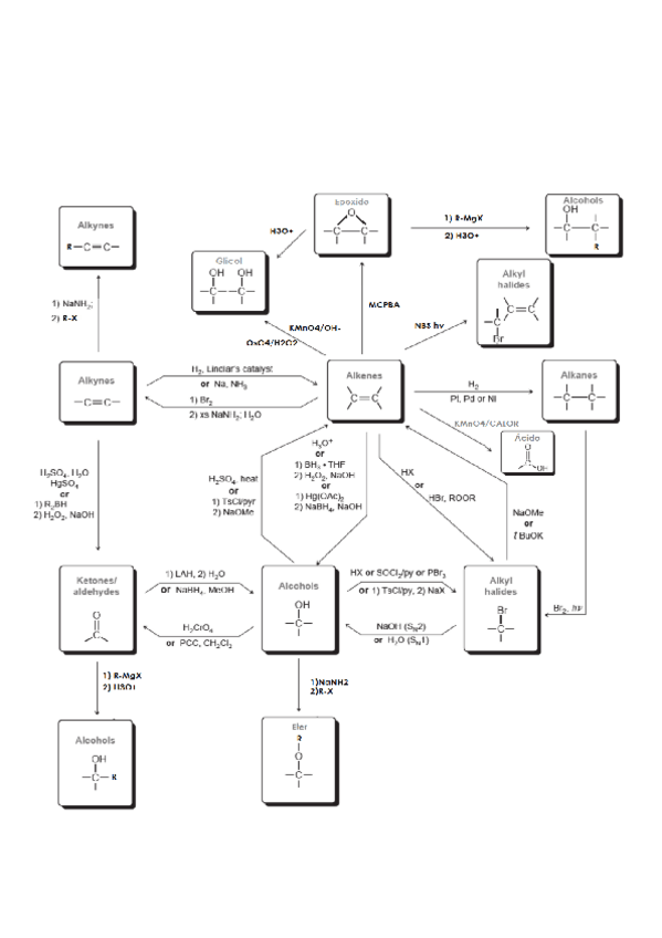
He publicado nuevos apuntes de 2º Química Orgánica I: Esquema-de-todas-las-reacciones-organica-I.pdf

1 página

He publicado nuevos apuntes de 2º Química Orgánica I: Resumen-Organica-1.pdf

12 páginas

He publicado nuevos ejercicios de 2º Química Orgánica I: Examen Seminario Alquinos.pdf

2 páginas
Anónimo

@Anónimo

ejercicios

-

Orgánica I

He publicado nuevos ejercicios de 2º Química Orgánica I: Orgánica I

ejercicios-tema-1-7.pdf

ejercicios

-

SERIES RESUELTAS ORGÁNICA 1 2024/25

He publicado nuevos ejercicios de 2º Química Orgánica I: SERIES RESUELTAS ORGÁNICA 1 2024/25

Serie 0: Formulación.pdf
Serie 1 Resuelta.pdf
Serie 2 Resuelta.pdf
Miniapuntes Formulación.pdf
Serie 4 Resuelta.pdf
Serie 3 Resuelta.pdf

Solo los 2 primeros ejercicios

3 páginas