Anónimo
Ejercicios resueltos 2º cuatrimestre
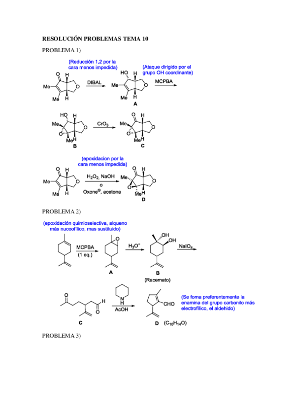
Problemasresueltostema-10.pdf
6 páginas
Resolucion-problemas-tema-11v1.pdf
7 páginas
Resolucion-problemas-tema-12.pdf
11 páginas
Resolucion-problemas-tema-13v1.pdf
9 páginas
Prácticas - Practicas-Organica-2.pdf
pdf
43 páginas
250
10
Exámenes - Examen-Parcial-Química-Orgánica-II.pdf
5 páginas
381
5
Exámenes - ExamenJunioQOII20192020.pdf
3 páginas
81
0
Ejercicios - tema-9-problemas.pdf
241
2
Apuntes - Resumenes-1o-y-2o-cuatri.pdf
15 páginas
224
3
Ejercicios - tema-10-problemas.pdf
247
Ejercicios - tema-2-problemas.pdf
219
Ejercicios - tema-4-problemas.pdf
4 páginas
237
Ejercicios - tema-11-problemas.pdf
245
1
Ejercicios - tema-1-problemas.pdf
231
Ejercicios - tema-6-problemas.pdf
236
Ejercicios - tema-12-problemas.pdf
225
Exámenes - Examen-Practicas-OrgII-Enero17.pdf
216
Ejercicios - Resolucion-problemas-tema-11v1.pdf
203
Ejercicios - Resolucion-problemas-tema-12.pdf
195
Ejercicios - tema-5-problemas.pdf
Ejercicios - tema-3-problemas.pdf
213
Ejercicios - Problemasresueltostema-10.pdf
218
Ejercicios - tema-13-problemas.pdf
220
Ejercicios - tema-7-problemas.pdf
226