Soluciones Seminario 1 16-17.pdf

Anónimo

soluciones seminarios de todos los temas

12 archivos·

de todos los profesores

Seminario 1 16-17.pdf

2 páginas

Soluciones Seminario 1 16-17.pdf

3 páginas

Seminario 02_acidos y derivados_2016-2017.pdf

3 páginas

Soluciones-Seminario 02_acidos y derivados_2016-2017.pdf

4 páginas

Seminario 03_Enoles y enolatos-2016-2017.pdf

3 páginas

Soluciones Seminario 03_Enoles y enolatos-2016-2017.pdf

5 páginas

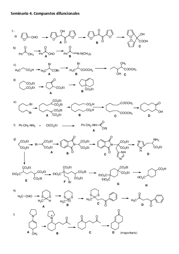
Seminario 4 Difuncionales.pdf

2 páginas

Seminario 4 Difuncionales Soluciones.pdf

3 páginas

SEM 5 AZUCARES Y AA 2016-2017.pdf

3 páginas

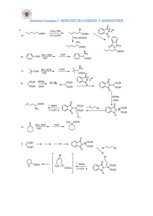
Soluciones Seminario 5 HdC y AA.pdf

5 páginas

seminario 6 16-17.pdf

4 páginas

Sol sem sint y react heteroc16-17.pdf

7 páginas

content_copy

Archivos recomendados