chevron_left
chevron_right
Todo
Apuntes
chevron_left
chevron_right

He publicado nuevos apuntes de 4º Química Orgánica II: conden-aldolica-knoevenagel-cannizaro-e1cb.pdf

3 páginas

He publicado nuevos apuntes de 4º Química Orgánica II: Alquilacion-ester-malonica-Adicion-de-Michael-Retroaldolica-saponificacion.pdf

8 páginas

He publicado nuevos apuntes de 4º Química Orgánica II: compuestos-carbonilicos-reacciones-de-adicion-ejercicios.pdf

10 páginas

He publicado nuevos apuntes de 4º Química Orgánica II: DERIVADOS-benceno-aminas-sna.pdf

5 páginas

He publicado nuevos apuntes de 4º Química Orgánica II: Grupos-donador-atractor.pdf

6 páginas

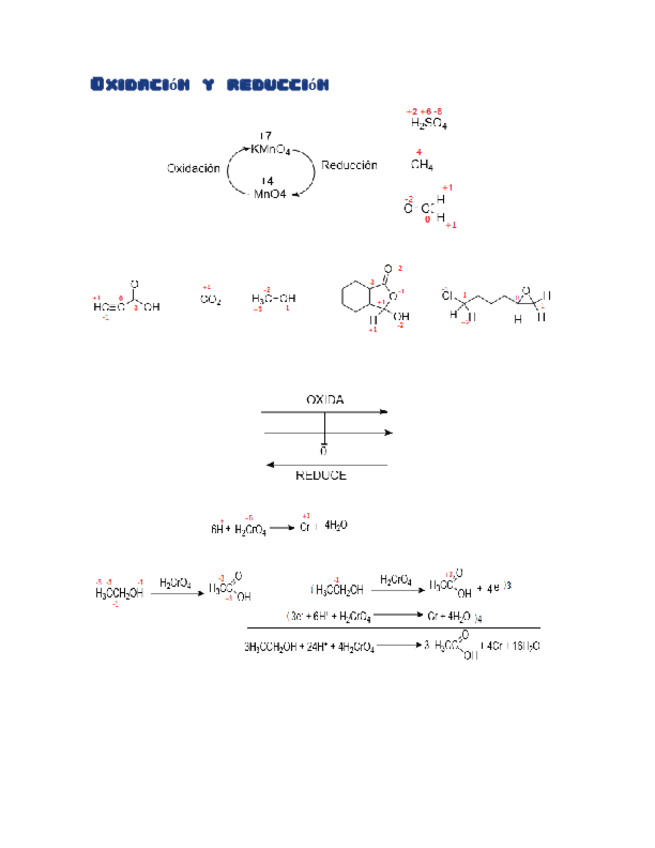
He publicado nuevos apuntes de 4º Química Orgánica II: formacion-de-enlaces-c-c-redox-de-carbonilo-ox-de-alcoholes-dioles.pdf

7 páginas

He publicado nuevos apuntes de 4º Química Orgánica II: sn-e-y-radicales.pdf

3 páginas

He publicado nuevos apuntes de 4º Química Orgánica II: sust-en-compuestos-aromaticos.pdf

5 páginas

He publicado nuevos apuntes de 4º Química Orgánica II: halogenacion-alcanos-alquenos-alilica.pdf

5 páginas

He publicado nuevos apuntes de 4º Química Orgánica II: e1e2sn1sn2diaposi.pdf

15 páginas

He publicado nuevos apuntes de 4º Química Orgánica II: reactividad-y-reacciones-quimicas.pdf

15 páginas
Anónimo

@Anónimo

He publicado nuevos apuntes de 4º Química Orgánica II: organicaIIIR.pdf

1 página
Anónimo

@Anónimo

He publicado nuevos apuntes de 4º Química Orgánica II: organicaIIantioxidantesbhabhttbhq.pdf

2 páginas
¡Estás al día!

¡Estás al día!

Has visto todos los archivos