Portada
Asignatura
Grado en Ingeniería en Sistemas Industriales (UFV)
Química para la Ingeniería
Fecha de subida
21 sep 2022
Categoría
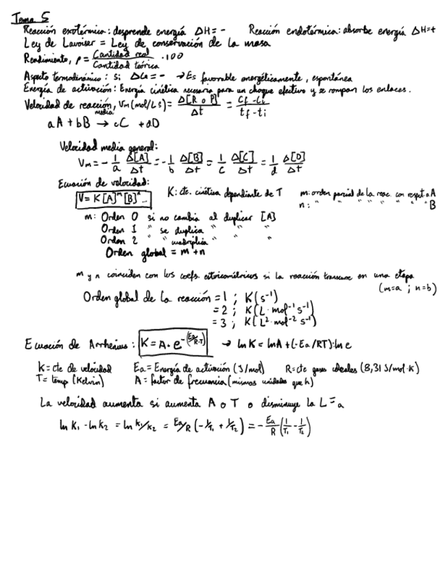
apuntes
Etiquetas
Exámenes - segundo-parcial-quimica-resuelto-1.pdf
pdf
4 páginas
95
1
Exámenes - primer-parcial-quimica-resuelto-2.pdf
5 páginas
92
Exámenes - primer-parcial-quimica-resuelto-1.pdf
3 páginas
73
3
Apuntes - Apuntes-completos--examenes.pdf
22 páginas
44
Apuntes - Segundo-parcial-quimica-.pdf
6 páginas
58
0
Apuntes - Apuntes-y-ejercicios-examen-1.pdf
7 páginas
42
Apuntes - Primer-Parcial-Quimica-.pdf
49
Apuntes - ApuntesQuimicaT0-3.pdf
25 páginas
24
2
Apuntes - Apuntes-y-ejercicios-examen-2.pdf
45
Apuntes - ApuntesQuimicaT4-6.pdf
21 páginas
25
Prácticas - PracticaLAB02.pdf
10 páginas
22
Ejercicios - Propuestos-1210928110535.pdf
18
Apuntes - Redox.pdf
11 páginas
23
Apuntes - QINGANACLAVERIAMARINACRUZJUANDIAZPractica1.pdf
16 páginas
8
Apuntes - QINGANACLAVERIAMARINACRUZJUANDIAZPRACTICA3.pdf
13
Prácticas - CHEMINGCandelaDeMarichalarLuciaGiraldezPractice1.pdf
14
Prácticas - PracticaLAB01.pdf
12 páginas
19
Prácticas - Lab.-2.-RedoxRev1.pdf
15
Apuntes - QUMICA-TEMAS-1-a-3.pdf
20 páginas
17
Apuntes - Cinetica-Quimica.pdf
8 páginas
12