Relacion-de-ejercicios-7.pdf

user_3144944

Relaciones de ejercicios

9 archivos·

Relacion-de-ejercicios-1.pdf

5 páginas

Relacion-de-ejercicios-2.pdf

4 páginas

Relacion-3.pdf

5 páginas

Relacion-de-ejercicios-5.pdf

5 páginas

Relacion-de-ejercicios-6.pdf

3 páginas

Relacion-de-ejercicios-7.pdf

7 páginas

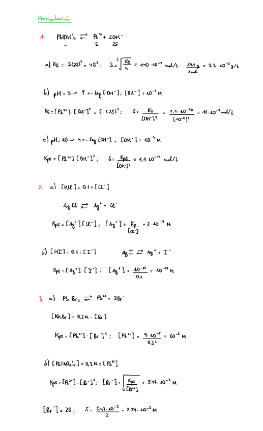
Precipitacion.pdf

4 páginas

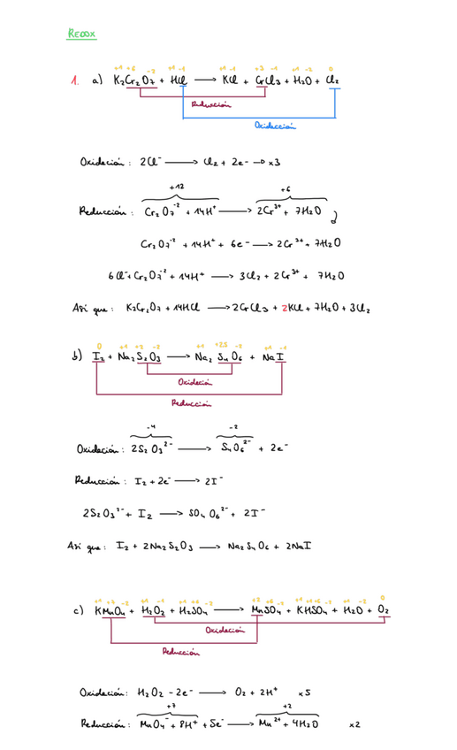
Redox.pdf

4 páginas

Relacion-4.pdf

3 páginas

content_copy

Archivos recomendados