Tema2EjerciciosResueltosRedes.pdf

javigomez182

Apuntes, resúmenes, ejercicios resueltos

14 archivos·

Tema2ResumenRedes.pdf

9 páginas

Tema3HojaEjerciciosRedes.pdf

4 páginas

Tema3ApuntesClaseRedes.pdf

52 páginas

Tema1ApuntesClaseRedes.pdf

30 páginas

Tema2ApuntesClaseRedes.pdf

44 páginas

Tema3ResumenRedes.pdf

10 páginas

Tema3EjerciciosResueltosRedes.pdf

3 páginas

Tema2HojaEjerciciosRedes.pdf

3 páginas

Tema4ApuntesClaseRedes.pdf

40 páginas

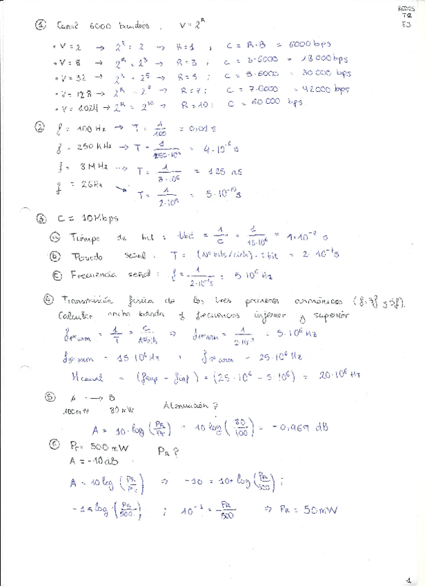
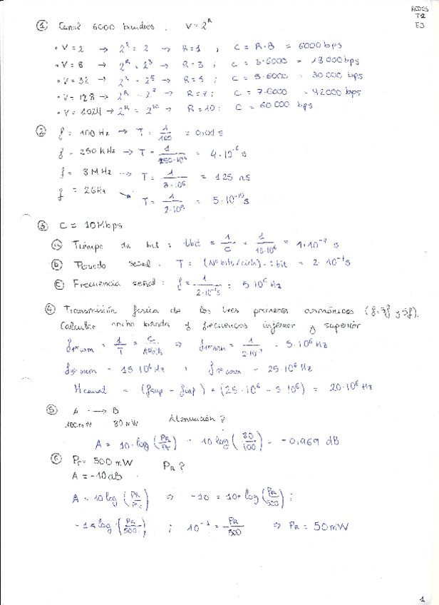
Tema2EjerciciosResueltosRedes.pdf

4 páginas

Tema4EjerciciosResueltosRedes.pdf

8 páginas

Tema4HojaEjerciciosRedes.pdf

7 páginas

Tema4ResumenRedes.pdf

6 páginas

Tema5ApuntesClaseRedes.pdf

22 páginas

content_copy

Archivos recomendados