JorgeAroca
RegulacionAutomaticaProblemasTema8.pdf
2 páginas
Exámenes - Ordinario2015-16.pdf
pdf
14 páginas
21
1
Exámenes - Extraordinario2013-14.pdf
14
0
Exámenes - Extraordinario2015-16.pdf
15
Exámenes - Ordinario2014-15.pdf
18 páginas
Apuntes - RegulacionAutomaticaApuntesClase.pdf
16 páginas
13
Exámenes - Ordinario2013-14.pdf
Exámenes - RegulacionAutomaticaOrdinario2016-17.pdf
Exámenes - Ordinario2011-12.pdf
10 páginas
11
Ejercicios - RegulacionAutomaticaProblemasTema9.pdf
8 páginas
8
Exámenes - Ordinario2010-11.pdf
Ejercicios - RegulacionAutomaticaProblemasTema7.pdf
4 páginas
7
Exámenes - RegulacionAutomaticaExtra2011-12.pdf
12 páginas
Ejercicios - RegulacionAutomaticaProblemasTema4.pdf
19 páginas
6
Ejercicios - RegulacionAutomaticaProblemasTema5.pdf
6 páginas
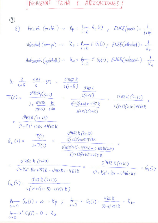
Ejercicios - RegulacionAutomaticaProblemasTema8.pdf