chevron_left
chevron_right
Todo
Apuntes
Ejercicios
Exámenes
chevron_left
chevron_right

examenes

-

Examenes_Resueltos

He publicado nuevos examenes de 3º Regulación Automática: Examenes_Resueltos

Ordinario2015-16.pdf
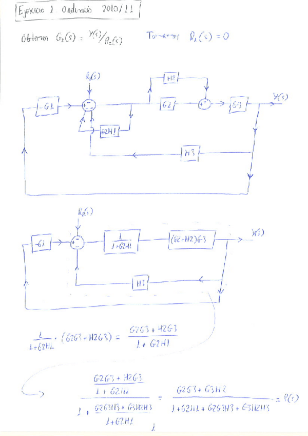
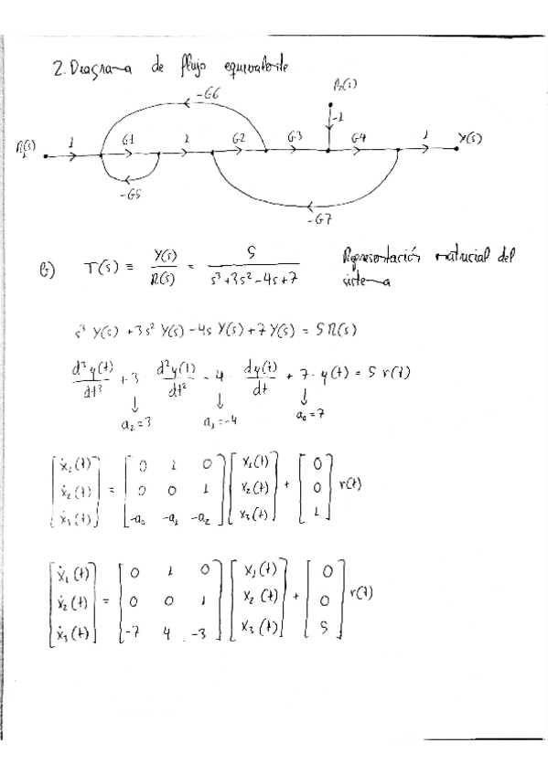
Ordinario2010-11.pdf
Ordinario2014-15.pdf
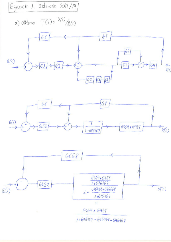
Ordinario2013-14.pdf
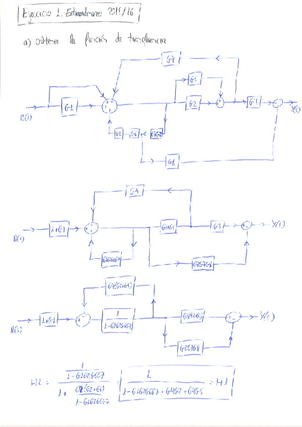
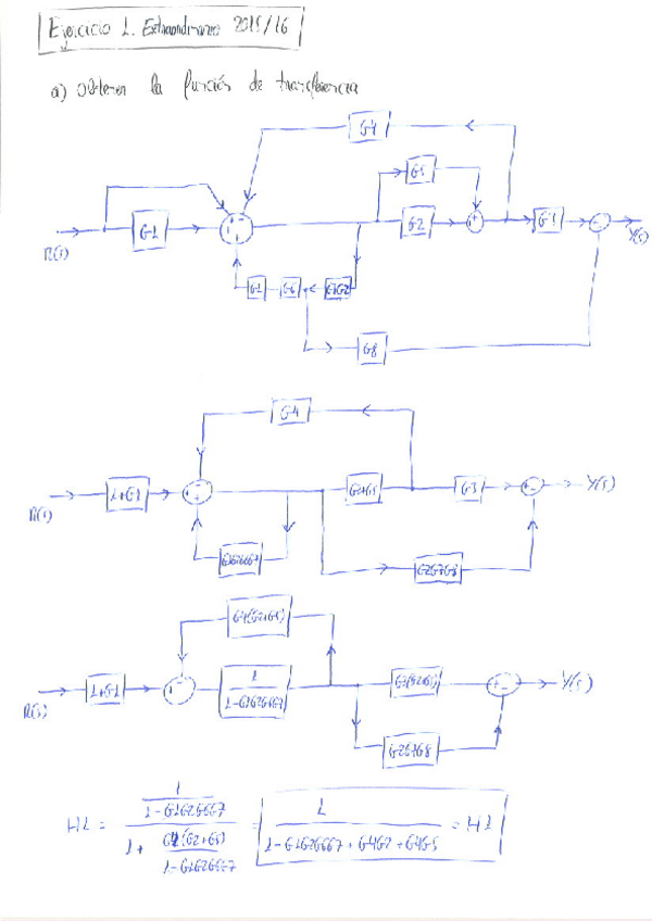
Extraordinario2015-16.pdf
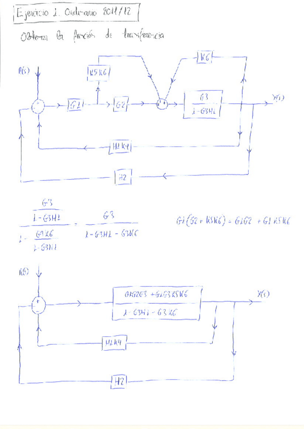
Ordinario2011-12.pdf

He publicado nuevos ejercicios de 3º Regulación Automática: RegulacionAutomaticaProblemasTema9.pdf

8 páginas

He publicado nuevos ejercicios de 3º Regulación Automática: RegulacionAutomaticaProblemasTema8.pdf

2 páginas

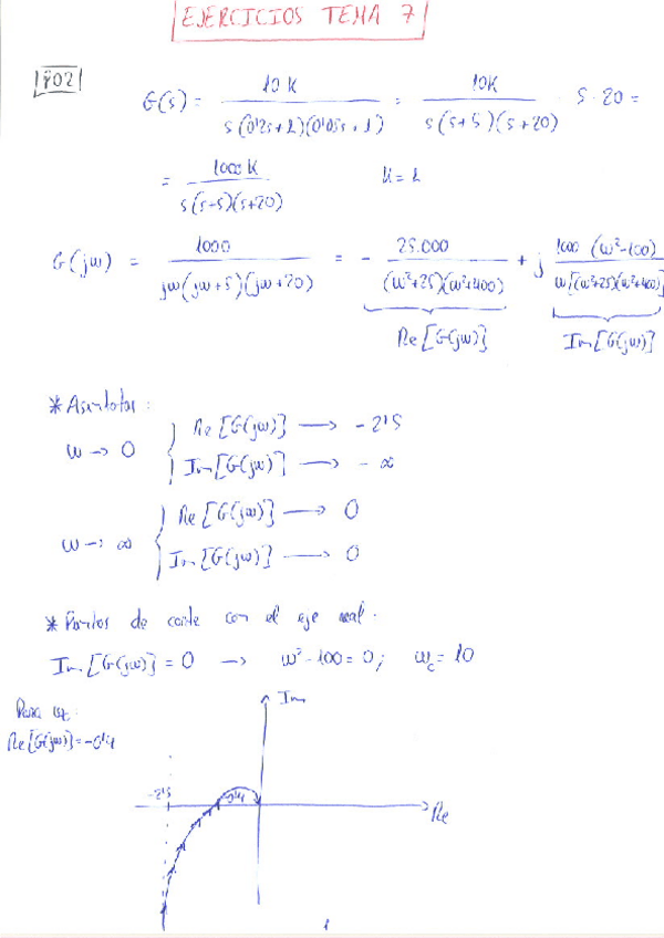
He publicado nuevos ejercicios de 3º Regulación Automática: RegulacionAutomaticaProblemasTema7.pdf

4 páginas

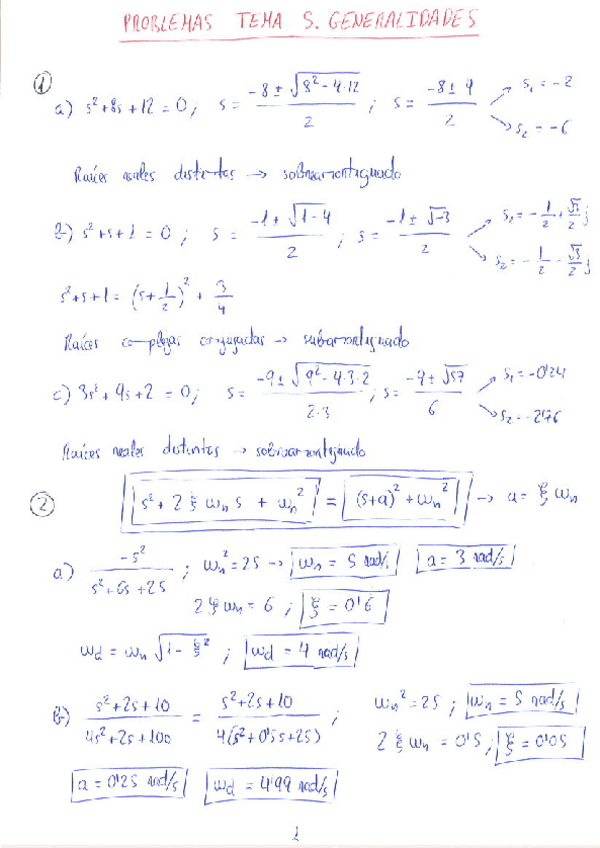
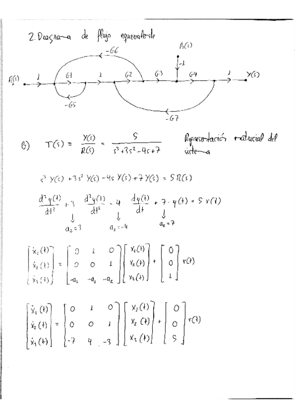
He publicado nuevos ejercicios de 3º Regulación Automática: RegulacionAutomaticaProblemasTema5.pdf

6 páginas

He publicado nuevos ejercicios de 3º Regulación Automática: RegulacionAutomaticaProblemasTema4.pdf

19 páginas

He publicado nuevos apuntes de 3º Regulación Automática: RegulacionAutomaticaApuntesClase.pdf

16 páginas

He publicado nuevos examenes de 3º Regulación Automática: RegulacionAutomaticaOrdinario2016-17.pdf

14 páginas

He publicado nuevos examenes de 3º Regulación Automática: RegulacionAutomaticaExtra2011-12.pdf

12 páginas
¡Estás al día!

¡Estás al día!

Has visto todos los archivos