Portada
Asignatura
Grado en Ingeniería de Tecnologías Industriales (UVA)
Resistencia de Materiales
Fecha de subida
23 nov 2022
Categoría
ejercicios
Etiquetas
Apuntes - TEORIA-RESISTENCIA-DE-MATERIALES (todas las preguntas de examenes resueltas).pdf
pdf
6 páginas
16
1
Exámenes - Examen-2020-Resuelto.pdf
23 páginas
14
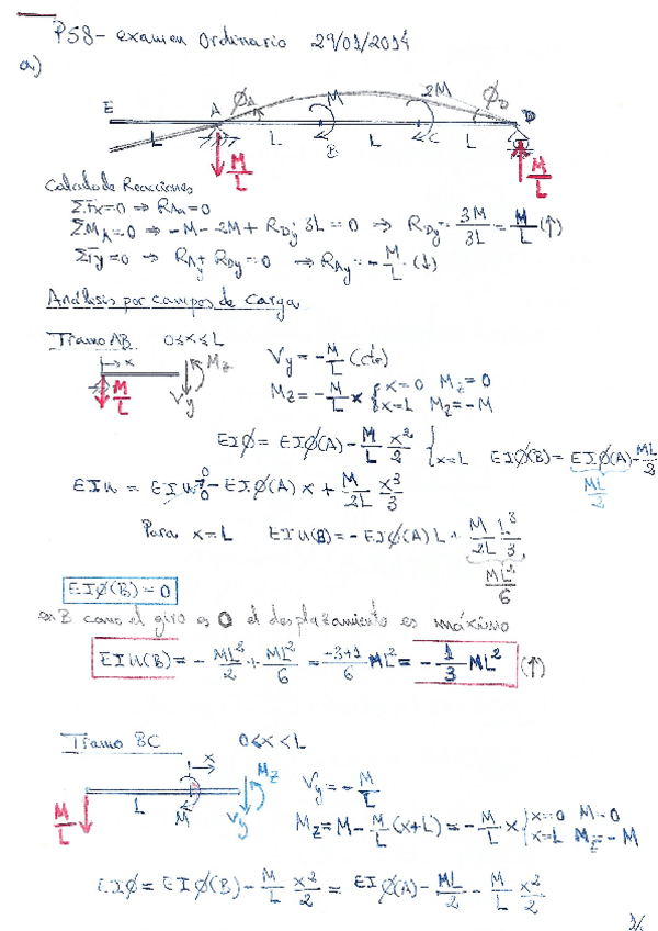
Ejercicios - P58integrando.pdf
3 páginas
5
0
Ejercicios - P57v2.pdf
4 páginas
6
Ejercicios - 25celosiafacilEntregable2Analitico.pdf
5 páginas
Exámenes - exRMg1c12.pdf
2 páginas
15
Ejercicios - P08Mohrbidimensional.pdf
4
Ejercicios - ejercvariadospropuestos.pdf
1 página
Ejercicios - 25celosiasincomplicacionesGrafico.pdf
2
Exámenes - Ordinario-2022-Cuestiones.pdf
Exámenes - Extraordinario-2021.pdf
Exámenes - Extraordinario-2019.pdf
Ejercicios - P05Inercias-.pdf
Ejercicios - P20solucionv2.pdf
17 páginas
3
Exámenes - Ordinario-2021.pdf
Exámenes - Ordinario-2020.pdf
Ejercicios - P30torsion-y-flexion.pdf
7 páginas
Apuntes - RMgrado6pandeo.pdf
19 páginas
Apuntes - RMgrado4flexion.pdf
39 páginas
Apuntes - RMgrado3Solidoelastico.pdf
25 páginas