Monty1232
EXÁMENES
Mayo-2021.pdf
6 páginas
Mayo-2020.pdf
Septiembre-2016.pdf
4 páginas
Exámenes - Mayo-2021.pdf
pdf
21
0
Exámenes - Mayo-2020.pdf
12
Apuntes - Estabilidad-ecuaciones-en-diferencias-finitas.pdf
1 página
10
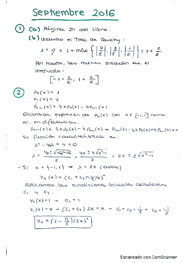
Exámenes - Septiembre-2016.pdf
Apuntes - Ejercicios-Tema-10.pdf
5 páginas
7
Apuntes - Ecuaciones-en-diferencias-finitas.pdf
4
Apuntes - Ecuaciones-en-diferencias-no-homogeneas.pdf
Apuntes - Metodo-del-punto-fijo.pdf
5
Apuntes - Metodos-en-diferencias-finitas.pdf
Apuntes - RNE-no-lineales-escalares.pdf
2 páginas
Apuntes - Metodo-del-punto-fijo-sistemas.pdf
Apuntes - Raices-complejas.pdf
3 páginas
Apuntes - 1.pdf
6
Apuntes - Metodo-de-Newton-sistemas.pdf
Apuntes - Consistencia.pdf
3
Apuntes - Optimizar-sin-restricciones.pdf
2
Apuntes - Cero-estabilidad.pdf