Portada
Asignatura
Grado en Ingeniería Electrónica Industrial y Automática (UCLM)
Robótica Industrial
Fecha de subida
12 dic 2022
Categoría
examenes
Etiquetas
Exámenes - PREGUNTAS-TEORIA-FRECUENTES.pdf
pdf
9 páginas
21
0
Exámenes - ExamenEnero2010.pdf
5 páginas
18
Prácticas - PRACTICA2.pdf
13 páginas
12
Apuntes - Apuntes-Robotica.pdf
30 páginas
14
Prácticas - PRACTICA3.pdf
42 páginas
11
Prácticas - PRACTICA1.pdf
14 páginas
13
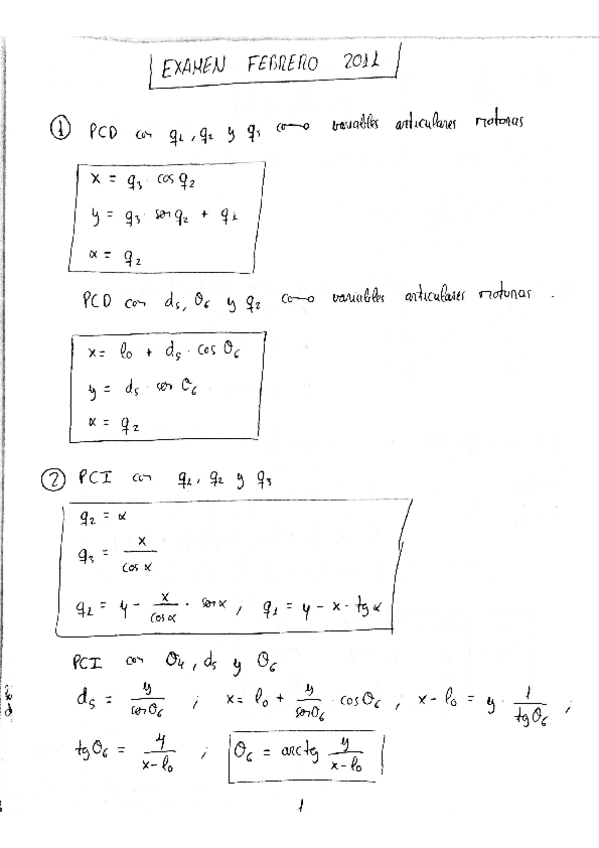
Exámenes - ExamenFebrero2011.pdf
3 páginas
17
1
Trabajos - Ej3JorgeArocaGrinan.pdf
26 páginas
Exámenes - ExamenEnero2009.pdf
4 páginas
10
Trabajos - Ej2JorgeArocaGrinan.pdf
17 páginas
8
Apuntes - ApuntesClaseRobotica.pdf
7
Trabajos - Ej1JorgeArocaGrinan.pdf
Exámenes - ExamenFebrero2010.pdf
2 páginas
Prácticas - PRACTICA-1.pdf
5
Prácticas - PRACTICA-2.pdf
8 páginas
Prácticas - PRACTICA-3.pdf
6
Prácticas - PRACTICA-4.pdf
12 páginas
4