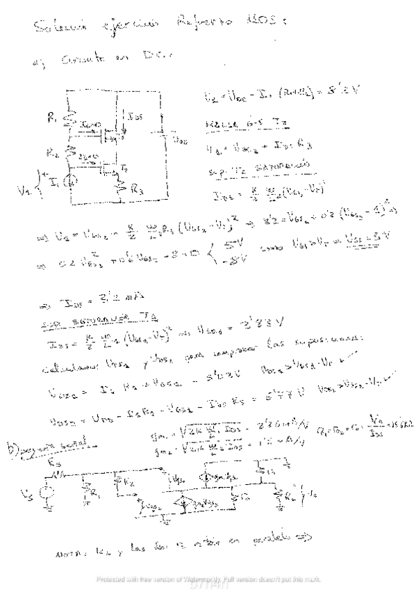
solucion-ejercicio-refuerzo-MOS.pdf

b7n4n

Ejercicios variados

10 archivos·

tema-1-problemas.pdf

2 páginas

RelaciondeProblemasdeElectronicaDigital.pdf

1 página

Solucion-ejercicio-refuerzo-MOS-3.pdf

2 páginas

tema-4-problemas.pdf

2 páginas

septiemnbre20142015.pdf

2 páginas

tema-2-problemas-segunda-parte.pdf

2 páginas

solucion-ejercicio-refuerzo-MOS.pdf

4 páginas

tema-2-problemas-primera-parte.pdf

1 página

Tabla-transistor.pdf

1 página

RelaciondeProblemasdelTemaDiodos.pdf

3 páginas

content_copy

Archivos recomendados